CAT Exam in 100 Days

Welcome to the CAT 100 Day Challenge
(Day 31-60)

100 days. 100 questions. One shot at your IIM dream.
The CAT exam isn’t cracked in one night—it’s conquered through daily consistency. That’s why we created the CAT 100 Day Challenge: a free prep journey where you solve one high-quality CAT-level question every day, complete with solutions, shortcuts, and expert tips. In less than 10 minutes a day, you’ll build unstoppable momentum, sharpen your skills, and stay exam-ready without overwhelm. Whether you’re starting late or fighting procrastination, this challenge is your daily push to stay disciplined, focused, and ahead of the competition.

Start today. One question → one habit → one step closer to your IIM seat.

Day 31 of 100: Tip of the Day - DILR: The Art of Set Selection 🎯

The most critical skill in DILR isn’t solving a set—it’s choosing the right sets to attempt. In a mock or the actual exam, spend the first 3-4 minutes surveying all four sets. Look for:

Familiarity: Is the set type something you’ve seen before (e.g., Venn diagram, games and tournaments)?

Clarity: Is the data and the question phrasing unambiguous and easy to understand?

Dependencies: Does the set seem to require too many variables or complex case possibilities from the start?

By selecting two relatively easy or moderate sets to solve first, you secure a strong score and build confidence before tackling the more challenging ones.

Day 32 of 100: Reading Comprehension

VARC Day 32

Correct Answer 1

Option A

Correct Answer 2

Option D

Correct Answer 3

Option D

Correct Answer 4

Option D

Q1. Which one of the following has NOT contributed to the growing wolf population in Lozère?

  1. The shutting down of the royal office of the Luparii.
  2. The granting of a protected status to wolves in Europe.
  3. An increase in woodlands and forest cover in Lozère.
  4. A decline in the rural population of Lozère.

The passage does not mention the shutting down of the royal office of the Luparii as a contributing factor to the growing wolf population. Instead, it emphasizes factors such as the protected status of wolves in Europe, the decline of hunting as a sport, the efforts of NGOs to track and count the animals, and the increase in woodlands and forest cover in Lozère. Rest all options are mentioned in the context so can be eliminated.

Q2. The inhabitants of Lozère have to grapple with all of the following problems, EXCEPT:

  1. lack of educational facilities.
  2. livestock losses.
  3. poor rural communication infrastructure.
  4. decline in the number of hunting licences.

The passage discusses the decline in the number of hunting licenses and the quieter forests due to a decrease in hunting as a sport. However, it does not specifically state that the inhabitants of Lozère are grappling with this as a problem. On the other hand, the passage mentions issues such as a lack of local schools, jobs, phone and internet connections, and livestock losses due to the return of wolves. That helps us to conclude that 4 is the right choice.

Q3. The author presents a possible economic solution to an existing issue facing Lozère that takes into account the divergent and competing interests of:

  1. environmentalists and politicians.
  2. tourists and environmentalists.
  3. politicians and farmers.
  4. farmers and environmentalists.

The passage does not explicitly mention the divergent and competing interests of specific groups, but it does provide information that implies conflicts between different stakeholders. Based on the information provided, the option that best aligns with the potential conflicts discussed in the passage is the 4th one. The passage describes how farmers in Lozère are concerned about the return of wolves, as they claim the wolves cause livestock losses. On the other hand, environmentalists may celebrate the return of predators like wolves, considering it a sign of wider ecological health. This suggests a potential conflict of interests between farmers, who are concerned about their livelihoods and livestock, and environmentalists, who may prioritize the ecological balance.

Q4. Which one of the following statements, if true, would weaken the author’s claims?

  1. The old mining sites of Lozère are now being used as grazing pastures for sheep.
  2. Having migrated out in the last century, wolves are now returning to Lozère.
  3. Unemployment concerns the residents of Lozère.
  4. Wolf attacks on tourists in Lozère are on the rise.

The author's claims in the passage seem to revolve around the conflict between farmers and environmentalists regarding the return of wolves, with farmers expressing concerns about livestock losses. If there were reports of wolf attacks on tourists on the rise, it might suggest a different perspective on the impact of wolves in the area, potentially indicating a more immediate threat to human safety rather than just concerns about livestock. Only option 4 could weaken the emphasis on the environmental benefits mentioned in the passage. Option 1- This statement is not directly relevant to the author's claims about the conflict between farmers and environmentalists regarding the return of wolves. It doesn't necessarily weaken or strengthen the main arguments in the passage. Option 2- This statement aligns with the information presented in the passage and supports the author's claims about the return of wolves, which is a central theme in the discussion of conflicts between farmers and environmentalists. Option 3- This statement is mentioned briefly in the passage, but it doesn't directly relate to the author's claims about the conflict between farmers and environmentalists regarding the return of wolves. While unemployment concerns are mentioned, the primary focus is on the impact of the return of wolves on farmers.

Day 33 of 100: Quantitative Aptitude

Two cars P and Q start from two points A and B towards each other simultaneously. They meet for the first time 40 km from B. After meeting they exchange their speeds as well as directions and proceed to their respective starting points. On reaching their starting points, they turn back with the same speeds and meet at a point 20 km from A. Find the distance between A and B.
  1. 130 km
  2. 100 km
  3. 120 km
  4. 110 km

Correct Answer

B. 100 km

Day 34 of 100: DILR Set

The table below is the league table at the half-way stage in an Asian football tournament. So far, every team has played every other team in its pool exactly once. The positions in the group have been determined in the sequence: maximum number of points, followed by higher goal difference in case of a tie in points. Every match has 3 possible results: Win, Loss or Tie (Draw). Each win fetches three points while a loss gives no point. In case of a tie, a point is given to both the teams. Some information is missing in the table.

The following additional information is available:-

  • All teams were on a different number of points.
  • UAE beat Oman 2-1 in their head-to-head encounter.
Q1. Which team won the match between Japan and UAE?
Q2. How many matches ended in a tie until the halfway stage of the Qualifiers?

Q3. What was the minimum number of combined goals scored by both participating teams in any of the matches played so far?

Q4. What is the maximum possible combined number of goals in the match between South Korea and UAE?

Correct Answer 1

Tie

Correct Answer 2

4 Matches

Correct Answer 3

0

Correct Answer 4

4

Day 35 of 100: VARC - Para-jumble

The four sentences (labelled 1, 2, 3 and 4) below, when properly sequenced, would yield a coherent paragraph. Decide on the proper sequencing of the order of the sentences and key in the sequence of the four numbers as your answer:

  1. It also considers problems at the intersection of sexuality and law and develops reforms to correct gender injustice, exploitation, or restriction.
  2. To these ends, feminist philosophy of law applies insights from feminist epistemology, relational metaphysics and progressive social ontology, feminist political theory, and other developments in feminist philosophy to understand how legal institutions enforce dominant gendered and masculinist norms.
  3. Feminist philosophy of law identifies the pervasive influence of patriarchy and masculinist norms on legal structures and demonstrates their effects on the material conditions of women and girls and those who may not conform to cisgender norms.
  4. Contemporary feminist philosophy of law also draws from diverse scholarly perspectives such as international human rights theory, postcolonial theory, critical legal studies, critical race theory, queer theory, and disability studies.

Correct Answer

3124

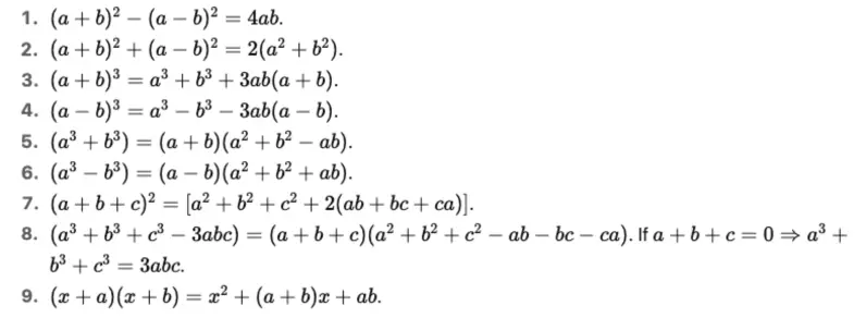
Day 36 of 100: Quant Algebraic Formulae Part 1

Day 37 of 100: DILR Set

Sixty-eight pencils are distributed among eight students – A, B, C, D, E, F, G and H – such that each student got at least five pencils and no two students got the same number of pencils.

Also, the following information is known:

    1. C got as many pencils more than D as F got less than G.
    2. E got exactly 11 pencils.
    3. A got twice the number of pencils that B got.
    4. C got more pencils than each of F and H but less than G.

Q1. Who got the least number of pencils?

    1. B
    2. D
    3. F
    4. H
Q2. The total number of pencils with B, D, F and H put together is:

Q3. The total number of pencils with B and G is equal to the total number of pencils with

    1. A and F
    2. H and C
    3. C and D
    4. F and H
Q4. The number of students who got more pencils than F is
    1. 5
    2. 4
    3. 6
    4. None of the above

Correct Answer 1

D. H

Correct Answer 2

26

Correct Answer 3

C. C and D

Correct Answer 4

B. 4

Day 38 of 100: VARC Vocabulary

Word: Indolent (adjective)

Meaning: Wanting to avoid activity or exertion; lazy.

Example in a Sentence: “The committee’s indolent response to the crisis drew sharp criticism, as their lack of action only allowed the problem to fester.”

Synonyms: Lazy, slothful, lethargic, sluggish.

Why it’s important: Words describing personality traits or behavior are common in RC passages that analyze people, societal groups, or historical figures.

Day 39 of 100: Quant - Geometry

The length of sides AB, BC and CA of a triangle ABC is 7 cm, 10 cm and 12 cm respectively. AB is extended to D such that AD = 28 cm. BC is extended to E such that BE = 20 cm. CA is extended to F such that CF = 36 cm. What is the ratio of the area of triangle ABC to the area of triangle DEF?

Quant Day 39

Correct Answer

1:18

Day 40 of 100: Tip of the Day - The Power of the Pause 🧘🏻‍♀️

As the countdown intensifies, the pressure to study around the clock is immense. But remember, the CAT is not just a test of knowledge; it’s a test of endurance and clear thinking under pressure. Your mental health is your most valuable strategic asset. Pushing yourself past the point of exhaustion won’t make you smarter—it will make you slower and more prone to mistakes.

So, give yourself permission to genuinely rest. Take a 15-minute walk, listen to a podcast, or simply sit with a cup of tea. These deliberate breaks are not a waste of time; they are a necessary investment in your brain’s performance and your ability to stay sharp on test day.

Day 41 of 100: VARC - Para-jumble

DIRECTIONS for the question: The four sentences (labelled 1,2,3 and 4) given in this question, when properly sequenced, form a coherent paragraph. Decide on the proper order for the sentence and key in this sequence of four numbers as your answer.

  1. The word ‘benevolent’ would prompt scowls from the Hulk, the Punisher, and other angry heroes who sulk along the boundaries of the heroic.
  2. The Compact Oxford English Dictionary slightly improves on this slim characterization with: “a benevolent fictional character with superhuman powers.”
  3. The oldest strategy in systematic philosophy is to start with a clear definition, but the recent philosophical attention to superheroes has not cured the usual definitional disarray for this domain.
  4. The Oxford English Dictionary treats ‘superhero’ generically: “used to designate a person, animal, or thing which markedly surpasses all others.

Correct Answer

3421

Sentence 3 serves as a strong opening, setting the context of the philosophy of defining terms, particularly in relation to superheroes. It states that despite the recent philosophical attention to superheroes, there isn't a clear definition for this domain. Following this, sentences 4 and 2 present two definitions from Oxford English Dictionaries. Sentence 4 introduces the Oxford English Dictionary's generic definition of a superhero, which doesn't specify the character's disposition. Sentence 2, then, presents the Compact Oxford English Dictionary's more specific definition, which includes the term "benevolent". Finally, sentence 1 provides a counterpoint to the term "benevolent" in the previous definition, suggesting that not all superheroes would be described as such, with characters like Hulk and the Punisher serving as examples. So the sequence 3-4-2-1 builds a coherent paragraph that introduces the lack of a clear definition for superheroes, presents two dictionary definitions, and then critiques these definitions based on examples from the world of superheroes.

Day 42 of 100: Quant - Time & Work

There are three boats B, B and B3 working together they carry 60 people in each trip. One day an early morning B carried 50 people in tew trips alone. When It stopped carrying the passengers B and B3 started carrying the people together. It took a total of 10 trips to carry 300 people by B, B and B3. It is known that each day on an average 300 people cross the river using only one of the 3 boats B, B and B3. How many trips it would take to B to carry 150 passengers alone?

Correct Answer

15 rounds

Day 43 of 100: DILR Set

Anu has given an entrance exam which comprises 5 sections: English, Mathematics, Geography, History, and Economics. The cumulative score of these sections will make the final score. In each of the section, the questions asked are of 6 marks, 4 marks, 3 marks, 2 marks and 1 mark. There is no negative marking. The total marks scored by Anu in this exam is less than 350.

The following pie chart gives the marks scored by Anu in these 5 sections as a percentage of her total marks scored.

DILR Set Day 43

Q1. What is the total score of Anu in the exam?

Q2. What is the number of 4 marks questions done correctly by Anu in Geography?

Q3. The marks scored by Anu through 3 mark and 1 mark questions is what percent of her total score?

  1. 25%
  2. 34.66%
  3. 33.33%
  4. 42%

Q4. How many 2 mark questions were done correctly by Anu?

Correct Answer 1

300

Correct Answer 2

6

Correct Answer 3

B. 34.66%

Correct Answer 4

25

Day 44 of 100: Tip of the Day - Active Reading, Not Passive Consumption💡

Don’t just read passages; engage with them actively. As you read, mentally map out the author’s argument. Ask yourself:

  • What is the main idea of this paragraph?
  • What is the author’s tone (e.g., critical, supportive, neutral)?
  • What is the structure of the argument (e.g., problem-solution, cause-effect, compare-contrast)?

This mental framework helps you answer inference and structure-based questions more effectively without having to reread the entire passage.

Day 45 of 100: Quant - Time, Speed and Distance

Two friends named Ajay and Vijay simultaneously start swimming from points A and B respectively towards points B and A respectively with constant speed. On reaching points B and A respectively, they immediately turn back and run towards their starting points with same speed. They continue swimming this way. On their way, they meet each other at a point 500 m away from A during their first meeting and at point 300 m from B in their second meeting. Calculate the distance of their third meeting point from point A.

Correct Answer

100 m

Day 46 of 100: DILR Set

Five girls and four boys of a class were to be sent for a sports camp. Their teacher was asked to measure the weight of these students. But the weighing machine available in the school was defective and only measured weights greater than 100 kg. Hence, the teacher decided to measure the weight of three students at a time, but all three students selected would be of the same gender. He took all the possible weight combinations of girls as well as of boys. For girls, the measurements were 122 kg, 127 kg, 130 kg, 130 kg, 133 kg, 134 kg, 137 kg, 138 kg, 142 kg and 145 kg. For boys, the measurements were 174 kg, 170 kg, 165 kg and 163 kg. No two boys or no two girls had the same weight.

Q1. What is the average weight of the nine students?

  1. 50.33 kg
  2. 48.22 kg
  3. 51.44 kg
  4. 49.67 kg

Q2. What is the difference in the weights of the second heaviest boy and the second lightest girl?

  1. 14 kg
  2. 15 kg
  3. 18 kg
  4. 20 kg

Q3. What is the weight of the heaviest boy?

  1. 54 kg
  2. 56 kg
  3. 59 kg
  4. 61 kg

Q4. How many girls weigh less than all the boys?

  1. 5
  2. 4
  3. 3
  4. 2

Correct Answer 1

D. 49.67 kg

Correct Answer 2

C. 18 kg

Correct Answer 3

D. 61 kg

Correct Answer 4

B. 4

Day 47 of 100: VARC Vocabulary

Word: Perfunctory (adjective)

Meaning: (of an action or gesture) Carried out with minimum effort or reflection; done routinely and superficially.

Example in a Sentence: “The minister’s perfunctory apology failed to assuage the public’s anger, as it lacked any genuine acknowledgment of the harm caused.”

Synonyms: Cursory, superficial, mechanical, unthinking.

Why it’s important: This term is excellent for understanding an author’s critical tone. It’s used to describe an action that is done without real care or sincerity, a common theme in passages on social critique.

Day 48 of 100: Quant Algebraic Formulae Part 2

Day 49 of 100: DILR Set

Five friends Adam, Sukhbir, Hitesh, Navneet and Mushtaq went to a gym in the morning. They spent 24, 25, 28, 32, and 45 minutes in the gym not necessarily in the same order. Not more than two people were present inside the gym at the same time. The below information is known about their visits:
    • Adam entered at 6:50 am.
    • The person who entered 64 minutes after Hitesh, spent 32 minutes in the gym.
    • Sukhbir interested 13 minutes after Mushtaq did and left 30 minutes after Mushtaq had left.
    • Adam and Sukhbir spent 10 minutes together in the gym.
    • The last person left at 7:30 am.
Q1. Since morning, how many people left the gym before Sukhbir did?
Q2. Adam spent how many minutes in the gym?

Q3. What is the difference between the entering times of Hitesh and Mushtaq in minutes?

Q4. For how many minutes was Navneet alone in the gym?

Correct Answer 1

2 people

Correct Answer 2

32 minutes

Correct Answer 3

16 minutes

Correct Answer 4

8 minutes

Day 50 of 100: VARC Verbal Reasoning

DIRECTIONS for the question: Each of the following questions contains a statement followed by two courses of action numbered I and II. Evaluate the situation and mark your answer as:
    1. If only I follows
    2. if only II follows
    3. if both I and II follow
    4. if neither I nor II follows

Q1.
Statement:

At least three people were killed as the category four hurricane Irma made landfall in the Florida Keys and worked its way up the southwest coast, leaving more than three million properties and businesses without power and millions of people hunkering down in their homes or emergency shelters.

Course of action:

    1. The government must take active steps to fight climate change.
    2. The Churches in Florida must give shelter to people who have lost their homes.

The first course of action would have followed if we knew whether climate change had played a role in the formation or intensity of the hurricane. The second course of action is something which is desirable under any circumstance. However, the churches might not be practically feasible.

Q2.
Statement:

Despite repeated warnings, Jasmeet has not stopped posting abusive posts about Meetali on different social media pages.

Course of action:

    1. Meetali should file a police complaint against Jasmeet.
    2. Meetali must block Jasmeet on her social media page.

Only the first course of action follows. Posting abusive comments about someone despite repeated warnings might be a criminal offence. The second course of action is irrelevant as we don’t know if Jasmeet posted those comments on Meetali’s personal page. She might have already blocked him as she had given him repeated warnings.

Q3.
Statement:

A leading newspaper survey reveals that ‘Women find it unsafe to work in company X’.

Course of action:

    1. Company X should take measures to create a safe working environment for women.
    2. Company X should stop hiring women.

Course of action I follows because if the company’s work environment improves, it will improve company’s image. Course of action II does not follow because it is impractical and the company has a lot to lose if its recruitment is only limited to men. Therefore, option (1) is correct.

Q4.
Statement:

Company X called back all its cars manufactured after 2013 on account of defective parts.

Course of action:

    1. Company X should sue the supplier of the defective parts.
    2. Company X should fire its entire Quality control department.

Course of action I does not follow because the company may not be able to sue. It might be impractical or impossible. Course of action II is not right since there is no information indicating whether the entire Quality Control department is at fault. Thus, option (4) is correct.

Q5.
Statement:

Customers now prefer product X of company A to product Y of company B.

Course of action:

    1. Company B should immediately launch another product to rival X.
    2. Company B should investigate the causes for this preference.

Course of action I does not follow since it may be possible (and more profitable/ less costly) to modify Y and make it more competitive. Course of action II follows because only if company B realises the reasons for this preference will it be able to work on those. Hence, option (2) is correct.

Correct Answer 1

4

Correct Answer 2

1

Correct Answer 3

1

Correct Answer 4

4

Correct Answer 5

2

Day 51 of 100: Quant - Permutation and Combination

There are 15 identical chairs places in a row. In how many ways can 4 persons be seated, each person occupying 1 chair, such that there are atleast 2 empty chairs between any two persons.

Correct Answer

3024

Day 52 of 100: DILR Set

Twenty-five coloured beads are to be arranged in a grid comprising of five rows and five columns. Each cell in the grid must contain exactly one bead. Each bead is coloured either Red, Blue or Green. While arranging the beads along any of the five rows or along any of the five columns, the rules given below are to be followed:
    1. Two adjacent beads along the same row or column are always of different colours.
    2. There is at least one Green bead between any two Blue beads along the same row or column.
    3. There is at least one Blue and at least one Green bead between any two Red beads along the same row or column.

Every unique, complete arrangement of twenty-five beads is called a configuration.

Q1. The total number of possible configurations using beads of only two colors is:

If we have to use 2 colors, then those two colors have to be Blue and Green only, because if red color is used, then there has to be at least one green and one blue between any two beads. There are two possible configurations if exactly 2 colors are used. Diagrams are shown below:

Q2. What is the maximum possible number of Red beads that can appear in any configuration?

Maximum number of red beads can appear only when we minimize Blue and Green colored beads. So we can see that there are 9 Red colored beads in the above arrangement.

Q3. What is the minimum number of Blue beads in any configuration?

Minimum number of blue beads can appear only when we maximize Red and Green colored beads. The arrangement is as given below: So we can see that there are 6 Blue colored beads in the above arrangement.

Q4. Two Red beads have been placed in ‘second row, third column’ and ‘third row, second column’. How many more Red beads can be placed so as to maximise the number of Red beads used in the configuration?

We will make the arrangement as given in the question: Now we can see that there will be maximum 6 red colored beads which satisfy the given arrangement.

Correct Answer 1

2

Correct Answer 2

9

Correct Answer 3

6

Correct Answer 4

6

Day 53 of 100: Tip of the Day - Tone is as Important as Content 🗣️

For Inference and Author’s Opinion questions, pay close attention to the adjectives and adverbs the author uses. Words like “merely,” “ostensibly,” “regrettably,” or “ironically” are massive clues to the author’s tone (e.g., critical, skeptical, admiring).

Tone-based elimination can instantly discard options that misuse positive language for a negative tone passage, or vice-versa, making the final choice between two options much easier.

Day 54 of 100: Quant - Special Series

Find the sum of the first 12 terms of the series:

5/6 + 1/6 + 1/14 + 5/126 + ……

Correct Answer

6/5

Day 55 of 100: DILR Set

DIRECTIONS for the question: Analyse the graph/s given below and answer the question that follows.

CAT 2021 DILR Slot 3 Set 3
The figure above shows the schedule of four employees – Abani, Bahni, Danni and Tinni –whom Dhoni supervised in 2020. Altogether there were five projects which started and concluded in 2020 in which they were involved. For each of these projects and for each employee, the starting day was at the beginning of a month and the concluding day was the end of a month, and these are indicated by the left and right end points of the corresponding horizontal bars. The number within each bar indicates the percentage of assigned work completed by the employee for that project, as assessed by Dhoni.

For each employee, his/her total project-month (in 2020) is the sum of the number of months(s)he worked across the five project, while his/her annual completion index is the weight age average of the completion percentage assigned from the different projects, with the weights being the corresponding number of months (s)he worked in these projects. For each project, the total employee-month is the sum of the number of months four employees worked in this project, while its completion index is the weight age average of the completion percentage assigned for the employees who worked in this project, with the weights being the corresponding number of months they worked in this project.

Q1. Which of the following statements is/are true? I: The total project-month was the same for the four employees. II: The total employee-month was the same for the five projects.

  1. Only II
  2. Only I
  3. Neither I nor II
  4. Both I and II

The given information can be gathered as follows: From the above table, it is clear that I: The total project-month was the same for the four employees = 9 is true II: The total employee-month was the same for the five projects is not true Only I is true.

Q2. Which employees did not work in multiple projects for any of the months in 2020?

  1. Only Abani and Bahni
  2. Only Tinni
  3. All four of them
  4. Only Abani, Bahni and Danni

The given information can be gathered as follows: By observation only Tinni worked in multiple projects, so Abani, Bahni and Danni did not work in multiple projects.

Q3. The project duration, measured in terms of the number of months, is the time during which at least one employee worked in the project. Which of the following pairs of the projects had the same duration?

  1. Project 4, Project 5
  2. Project 3, Project 5
  3. Project 3, Project 4
  4. Project 1, Project 5

The given information can be gathered as follows: Again, by observation, project duration of Project 1 = Jan to Mar = 3 months Project 2 = Feb to Apr = 3 months Project 3 = Apr to Aug = 5 months Project 4 = Jul to Nov = 5 months Project 5 = Sep to Dec = 4 months Hence, project duration as per options, Project 3 and Project 4 is same.

Q4. The list of employees in decreasing order of annual completion index is:

  1. Danni, Tinni, Bahni, Abani
  2. Danni, Tinni, Abani, Bahni
  3. Tinni, Danni, Abani, Bahni
  4. Bahni, Abani, Tinni, Danni

The given information can be gathered as follows: From the above table, it is clear that in terms of Annual Completion Index Danni > Tinni > Abani > Bahni.

Correct Answer 1

Option B

Correct Answer 2

Option D

Correct Answer 3

Option C

Correct Answer 4

Option B

Day 56 of 100: VARC Vocabulary

Word: Soliloquy (noun)

Meaning: An act of speaking one’s thoughts aloud when by oneself or regardless of any hearers, especially by a character in a play.

Example in a Sentence: “Hamlet’s most famous soliloquy, ‘To be or not to be,’ is a profound meditation on life and death.”

Synonyms: Monologue, discourse (when alone), aside (often shorter and directed to the audience).

Why it’s important: This term is fundamental to understanding dramatic structure and characterization in literature and theater. It allows the audience direct access to a character’s inner thoughts, motivations, and conflicts, which is crucial for plot and theme development.

Day 57 of 100: Quant - Algebra

Find the sum of first 50 terms of this series:

3, 1, -2, -6, -11, -17

Day 58 of 100: DILR Set

DIRECTIONS for the question: Analyse the graph/s given below and answer the question that follows.

The air-conditioner (AC) in a large room can be operated either in REGULAR mode or in POWER mode to reduce the temperature.

If the AC operates in REGULAR mode, then it brings down the temperature inside the room (called inside temperature) at a constant rate to the set temperature in 1 hour. If it operates in POWER mode, then this is achieved in 30 minutes.

If the AC is switched off, then the inside temperature rises at a constant rate so as to reach the temperature outside at the time of switching off in 1 hour. The temperature outside has been falling at a constant rate from 7 pm onward until 3 am on a particular night. The following graph shows the inside temperature between 11 pm (23:00) and 2 am (2:00) that night.

CAT 2024 Slot 3 DILR Set 4

The following facts are known about the AC operation that night.

    • The AC was turned on for the first time that night at 11 pm (23:00).
    • The AC setting was changed (including turning it on/off, and/or setting different temperatures) only at the beginning of the hour or at 30 minutes after the hour.
    • The AC was used in POWER mode for longer duration than in REGULAR mode during this 3-hour period.
Q1. What was the temperature outside, in degree Celsius, at 1 am?

Given that the AC was turned on for the first time that night at 11 pm. So the temperature inside the room = 38 °C = the temperature outside the room. Let the falling rate of temperature outside the room per hour = x °C So, at 1 am (after 2 hours), the outside temperature = (38 – 2x) °C Also given that it takes 1 hour to reach the temperature outside while AC was switched off. Now, from 12 am to 12:30 pm, the temperature reached from 26 °C to 31 °C while AC was switched off, so it should have been reached from 31 °C to 36 °C from 12:30 pm to 1 pm (as per the constant rise in the rate), but along with that outside temperature is also falling at x °C per hour. So, at 1 pm, the outside temperature should be = (36 – x) °C Equating, (38 – 2x) °C = (36 – x) °C => x = 2 °C per hour. So, the temperature outside at 1 pm = 36 – 2 = 34 °C

Q2. What was the temperature outside, in degree Celsius, at 9 pm?

Given that the AC was turned on for the first time that night at 11 pm. So the temperature inside the room = 38 °C = the temperature outside the room. Let the falling rate of temperature outside the room per hour = x °C So, at 1 am (after 2 hours), the outside temperature = (38 – 2x) °C Also given that it takes 1 hour to reach the temperature outside while AC was switched off. Now, from 12 am to 12:30 pm, the temperature reached from 26 °C to 31 °C while AC was switched off, so it should have been reached from 31 °C to 36 °C from 12:30 pm to 1 pm (as per the constant rise in the rate), but along with that outside temperature is also falling at x °C per hour. So, at 1 pm, the outside temperature should be = (36 – x) °C Equating, (38 – 2x) °C = (36 – x) °C => x = 2 °C per hour. At 9 pm (2 hours prior to 11 pm), the temperature outside = 38 + 2x = 42 °C

Q3. What best can be concluded about the number of times the AC must have either been turned on or the AC temperature setting been altered between 11:01 pm and 1:59 am?

  1. Exactly 2
  2. Either 2 or 3
  3. More than 3
  4. Exactly 3

Between 11:01 pm and 1:59 pm, the AC have been turned on at 12:30 am and 1:30 am, when the inside temperature starts falling. Along with that it is given that the AC used in POWER mode is for longer duration that in REGULAR mode during 11 pm to 2 am and this alteration can be done after every 30 minutes. This is possible as follows- From 11 pm to 11:30 pm – REGULAR mode From 11:30 pm to 12 pm – POWER mode From 12:30 pm to 1 pm – POWER mode From 1:30 pm to 2 pm – POWER mode So, there must be an alteration at 11:30 pm Hence, the number of time the AC must have been turned on or settings altered = 2 + 1 = 3 (exactly)

Q4. What was the maximum difference between temperature outside and inside temperature, in degree Celsius, between 11:01 pm and 1:59 am?

Between 11:01 pm and 11:59 am, the maximum difference between temperature outside and inside was at 12 am = 36 – 26 = 10 °C

Correct Answer 1

34

Correct Answer 2

42

Correct Answer 3

Option D

Correct Answer 4

10

Day 59 of 100: VARC - Odd One Out

Five sentences related to a topic are given below in a jumbled order. Four of them form a coherent and unified paragraph. Identify the odd sentence that does not go with the four. Key in the number of the option that you choose.
    1. 5G networks are faster, can handle a higher volume of data, and reduce wait times.
    2. The new technology is able to shoot data from millions of local sensors or gadgets to distant cloud computers for processing and then return – all in a fraction of a second.
    3. Sensors themselves can be tinier, cheaper and more durable because of yet another advantage of 5G: smaller batteries.
    4. This deluge of data flooding through our society will enable a host of new services, including connecting new devices and equipment.
    5. There are three differences between 5G and the current 4G: speed, bandwidth and what network specialists call latency.

Correct Answer

3

Sentence 5 sets out the theme: three differences between 5G and 4G - speed, bandwidth and latency. Speed, bandwidth (volume) and latency are explained in sentence 1 (5-1), and then in sentence 2. (5-1-2) Sentence 4 explains what this difference can result in. 5-1-2-4 is coherent unit. Sentence 3 talks about the devices. Hence, 3.

Day 60 of 100: Tip of the Day - Focus on the Step, Not the Mountain ⛰️

It’s easy to feel overwhelmed when you look at the entire syllabus or think about the final score. Instead of letting that anxiety consume you, shift your focus to what you can control, right now.

Forget the big picture for a moment and just focus on the next manageable task: one DILR set, one RC passage, or one QA topic revision.

Your goal is not to ace the CAT in a single day, but to make one smart choice after another. Trust that this consistent, day-by-day effort is building the muscle and confidence you need.

You are stronger than you think, and you are building something remarkable with every small step.

best CAT Coaching

We at Quantifiers understand and deliver on the personal attention each of our students requires. Whether it is through our pedagogy that enables non-engineers or non-math background students, our constant effort to proactively provide solutions, or our focus on our student’s goals.