Time Speed & Distance is one of the most important and most repeated topics in Arithmetic for CAT 2026, appearing in both standalone and data-driven Quant formats. This page provides comprehensive CAT arithmetic important questions covering relative speed, trains, boats & streams, and circular motion — all based on repeated CAT patterns and high-difficulty problem types. The focus is on building strong conceptual speed and logical accuracy for the CAT Quant section.
Q1. A ship is 280 km away from the shore and it springs a leak at the bottom through which 150 liters of water enters the ship every 10 minutes. The ship has a pump that can throw out 400 liters of water per hour. The ship will sink if the water inside is more than 10,000 liters. What should be the minimum speed (in km/h) of the ship so that it reaches the shore before it sinks?
Q2. In a race of three athletes, A beats B by 12 meters and C by 81 meters. If B beats C by 70 meters, what was the length of the race (in meters)?
Q3. Points A, B and C lie in that order along a straight path where the distance from A to C is 1800 m. The three runners – Rubi, Esha and Aman start running at the same time with Rubi starting at A towards C, Aman starting at B towards C, and Esha starting at C towards A. When Aman meets Esha, he turns around and runs towards A. Aman and Rubi both arrive at B at the same time. If Rubi runs twice as fast as Esha, and Aman runs twice as fast as Rubi, then find the distance (in m) between A and B.
Q5. Two cars A and B start simultaneously from two cities X and Y and meet somewhere in between. Car A can cover 25% of the distance between X and Y in 3 hours and Car B can cover 1/6th of the distance between X and Y in 2.5 hours. Find the speed of the Car B (in km/h) if Car A travelled 150 km to the meeting point.
Q6. A cyclist travelled from point P to Q at the constant speed of 25 km/h. When he covered the distance of 25/3 km, he was overtaken by a bike that left point P, 12 minutes after the cyclist and travelled at a constant speed too. When the cyclist travelled another 30 km, he encountered the bike returning from Q. Assume that the bike did not stop at point Q. Find the distance (in km) between P and Q.
Q7. The village of Himmatnagar has an annual horse race in which the horses are required to cover the shortest path while touching all the four points (North, East, South, West) respectively marked at equal distances on the circumference of a circular race track. There were just two horses and one of them was five times as fast as the other. If they both start from the point marked in the North and move in a clockwise direction, where will they meet for the 15th time after they start?
Q9. One day, Ravi walked along a circular track for 3 hours. He then ran along the track for a time duration which was same as the time taken to walk one complete circle. He covered a total of 6 P km. The next day, Ravi walked along the same track for 2 hours. He then cycled around the track for the time that he would take to walk one round. He covered a total of 9 P km. The length of the track is P km. If the speeds at which he ran and cycled were 4.5 km/h and 10.5 km/h, respectively, then find his walking speed (in km/h).
Q10. Two trains A and B begin to enter a tunnel simultaneously at opposite ends on parallel tracks. While train A takes 14 seconds to completely enter the tunnel, train B takes only 7 seconds. Train B is 4/3 as fast as A. How much time (in seconds) do the two trains take to cross each other completely?
Q11. A rabbit and a hound start from A and B simultaneously moving towards B and A respectively. The hound after reaching A turns around and moves towards B. The rabbit still has 20% distance to cover to reach B, when the hound overtakes it. The speed of the rabbit is 120 strides/minute and that of the hound is X strides/minute. If the ratio of the lengths of the strides of the rabbit and the hound is 1: 3, find X.
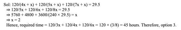
Q12. A boat covers a total distance of 360 km downstream in three equal parts with the speed of boat be 4x km/h, 5x km/h and 7x km/h respectively. If the speed of stream is x km/h and boat take total of 29.5 hours, then find the time (in hours) boat will take to cover the given distance upstream in three equal parts with three given speeds.
Q13. Sohan is going on a long drive of 600 km. His car gives him a uniform mileage of 15 km per L of petrol. At the start of the journey the car has 10 L of fuel. The capacity of the fuel tank is 20 L. After driving for 45 km, Sohan reads a road sign showing the distances from that point to five petrol stations ahead on the road. These distances are P-20 km, Q-100 km, R-250 km, S-315 km. If he wants to keep the average fuel content in his tank to be as low as possible while making only two stops for refuelling, which of the following statements is true?
Q14. A person going from home to work travels 4 km by taxi, 15 km by metro, and 2 km by auto. The journey takes 45 minutes, and the speed of the metro is three times that of the auto and 1.5 times that of the taxi. Find the speed (in km/h) of the metro.
Q15. In a 1000 m race Akash, Manu, and Rohit are the three participants. Akash, Manu, and Rohit can complete the race in the same time if Akash gives Manu a start of 50 m and Rohit a start of 69 m. The start (in m), which Manu can give Rohit is:
Q16. Every day Ajit runs 15 rounds on a circular track of 400 m in ‘T’ minutes. One day, after completing ‘n’ complete rounds he reduced his speed to 60% and so took ‘T + 4’ minutes to complete 15 rounds that day. Had he reduced his speed after completing 3 more rounds, he would have taken ‘T + 2’ minutes. Find ‘n’?
Q17. A train covers the distance between A and B at a speed of 45 km/h. Ravi travels from A to B by train and on the return journey, he covers 180 km by bus at a speed of 30 km/h and after that he takes a detour by taxi, which increases his total distance by 15 km. If the speed of the taxi on the extended route is 60 km/h and it takes 105 minutes more while returning, then find the distance (in km) between A and B.
Q18. A person travels to Kochi which is 750 km from Goa. He travels half of the distance by train then takes 20 minutes to reach the bus stop. He then covers one-third of the distance by bus and then takes a taxi to cover the remaining distance. If the speed of train, bus and taxi are 75 km/h, 50 km/ h and x km/h respectively, then what is true about the value of x such that he completes his journey in maximum of 12 hours?
Q19. A car and a bus start from a same point in the same direction. After ‘T’ hours the car is 45 km ahead of the bus, while after ‘9’ hours distance between the car and the bus is same as distance covered by the car in one hour. If relative speed of the car and the bus if they move towards each other is 255 km/h, then how much distance (in km) can the car cover in (T – 1/2) hour?
Q20. Sonu and Monu are climbing on a moving escalator that is going up. Sonu takes 48 steps to reach the top but Monu takes 54 steps to reach the top. Sonu can take 4 steps in a second while Monu can take 6 steps in a second. Calculate the total number of steps in the escalator.
Q22. A train travels from Station A to Station B covering a distance of 1500 km in time. On the return journey, it starts 1 hour 15 minutes late due to a technical problem, so the driver increases the average speed of the train by 5 km/h to reach on time. Find the original speed (in km/h) of the train.
Q23. A train takes 36 minutes to travel a distance between station A and station B. However, if the train’s speed is reduced by 8 km/h, it takes 40 minutes to cover the same distance. What is the distance (in km) between stations A and B?
Q25. A bus departed from city P towards city Q. After traveling 100 km, it encountered a road blockage and came to a stop for 30 minutes. At that point, the bus had covered 40% of the total distance. Once it resumed its journey, the driver increased the speed by 10 km/h and managed to arrive at city Q on time. What was the bus’s original speed (in km/h)?
Q26. Jack runs after his friend, Jiten, who is 1000 meters ahead, at a speed of 1 kilometre every 8 minutes. Jiten runs at a speed of 1 kilometre every 12 minutes. How much distance (in meters) has Jiten covered at the point when Jack overtakes him?
Q27. Three sprinters viz. A, B, and C participate in a race where A finishes the race first. All of them start running simultaneously with respective uniform speeds which they maintain till the end of the race. The distance between A and B was half the distance between A and C when A finishes the race. The speeds of A and C are 12 m/s and 8 m/s, respectively. Find the length of the race (in metres) if B finishes the race 420 metres ahead of C.
Q28. Two ships start from the same port, one sailing due South-East and the other sailing due South-West, both travelling at constant speeds, the speed of the latter being 7 kmph greater than that of the former. If, after five hours, they are 65 km apart, then the sum of their speeds, in kmph is:
Q29. Rajesh takes 30 seconds to finish riding an escalator if he walks on it at his normal speed in the same direction. He takes 18 seconds to finish riding the escalator if he walks at twice his normal speed in the same direction. If Rajesh decides to stand still on the escalator, then the time, in seconds, needed to finish riding the escalator is:
Q30. Two racers are running to and fro from the two opposite end points of a 500-metre-long straight running track starting simultaneously from the two end points with uniform speeds of 3 m/s and 7 m/s. What will be the distance (in metres) of the slower runner from his starting point when he meets the faster runner for the third time?
Q31. Car-1 travels distance ‘D’ with speed ‘2s’ whereas, Car-2 travels distance ‘2D’ with speed ‘s’. The difference between their travel times is 45 minutes. The time (in hour) taken by Car-2 to travel distance ‘2D’ is:
Q32. Sita and Gita start running simultaneously from two opposite ends of a straight path towards each other. After crossing each other, Sita and Gita reach their destinations in four and nine minutes, respectively. The ratio of speeds of Sita to that of Gita is:
Q33. A river flows from point A to point B. Two boats- a fast boat and a slow boat complete the to and fro journey from point A to point B. The fast boat takes 30% less time to complete the entire journey than the slow boat. If the ratio of the speed of the slow boat in still water to that of the river current is 5: 1, find the ratio of the speed of the slow boat to that of the fast boat.
Q34. In a city, the local shuttle trains start from and arrive at the station at fixed intervals and run at a uniform speed. A boy was walking down the railway track at a constant speed. Every half an hour, a local train overtook him and every 20 minutes, a local train passed him in the opposite direction. Find the time interval between a local train passing a certain point on the railway track and the immediately next local train passing that point in the same direction.
Q35. A circular track is marked with numbers from 1 to 15 so as to divide the track into 15 equal parts. Two runners started simultaneously from the point marked as 1 and run in opposite directions. After running for several hours, they noticed that they cross each other only at these 15 marked points and also that they crossed each other at each of these 15 points at least once. Which of the following is a possible value of the ratio of the speeds of the faster runner to the speed of the slower runner?
Q36. Had a person traveled 3 kmph faster he would have taken 2 hours less to cover a certain distance. Had he traveled 4 kmph slower he would have taken 5 hours more to cover the same distance. Find the distance (in km) he needs to cover.
Q37. There are two cities – A and B – such that the road to travel between them is partly uphill, partly on level ground and partly downhill. It took three hours for a bus to go from A to B, whereas it took 40 minutes more for the same bus to come back from B to A. Find the distance (in km) between A and B, if the speed of the bus at uphill, downhill and that on the level ground are 40 km/hr, 60 km/hr and 48 km/hr respectively.
Q38. After giving B a head start of 24 m in a race of 240 m, A was able to catch up with B in 16 seconds. If the speed of A is 33 1/3% more than that of B, by how many seconds will A beat B in that race?
Q40. Raju has been asked to plant saplings on one side of a 100 metres long road from beginning to end with an interval of 10 metres stretch between two consecutive saplings. All the saplings have been stacked at one end of the road. Raju can carry two saplings at a time and has to return to the place where all the saplings are stacked to take another pair of saplings. Raju completes this job by walking the minimum distance possible and returns to the end of the road from where he started planting after finishing the job. How much distance (in kilometres) did he walk in this process?
Q41. A motorcyclist leaves Mumbai at 7 am and reaches Pune at 10 am. Starting from 7:01 am, after every 10 minutes a car leaves Pune and moves towards Mumbai. These cars cross the motorcyclist on the road from the opposite side. How many cars will cross the motorcyclist from the opposite direction, if the motorcyclist doubles his speed and the interval between two consecutive cars’ leaving time is also doubled, keeping all other things the same as before?
Q42. If a man cycles at 15 km/hr, then he arrives at a certain place at 2 p.m. If he cycles at 20 km/hr, he will arrive at the same place at 12 p.m. At what speed must he cycle to get there at 1 p.m.?
Q43. If a man walks at 8 kmph speed, he reaches his office 10 minutes later than the scheduled time. If he increases his speed by 4 kmph, he reaches his office 4 minutes earlier than the scheduled time. A motorcyclist, who starts from the office at the same time when the man starts from his house for the office at 8 kmph, meets him on the road and rides him to the office to reach the office just on scheduled time. Find the speed of the motorcycle in kmph. (The time taken by the man to ride the motorcycle and by the rider to turn it around is negligible.)
Q44. A train leaves Howrah station for Kharagpur at 10 am. Another train leaves Kharagpur station for Howrah at 11 am. The trains cross each other at Kolaghat station, which is equidistant from both Howrah and Kharagpur station, at 1 pm. Both the trains on reaching their destination stations immediately start their return journeys and meet for the second time at Panskura station. What is the distance between Howrah and Panskura station, in kilometres, given that the distance of Kharagpur from Howrah station is 120 km?
Q45. Two sprinters Lewis and Bolt are running on a circular track. They started simultaneously from the same position but ran in opposite directions. If they keep on running indefinitely with their respective uniform speeds, Bolt will always run 50% more distance than Lewis between any two successive meets. If Bolt completes one round of the track in 54 seconds, then find the time (in seconds) taken by Lewis to complete one round of the track.
Q46. Bishnu and Sarathi start moving towards each other simultaneously from two opposite ends of a straight path which is 45 km long. Bishnu takes 3 hours more to reach the opposite end in comparison to Sarathi. If Sarathi reaches the starting point of Bishnu 7 hours after Bishnu moves one third of total distance, then, find the total time (in hours) taken by Sarathi to reach the starting point of Bishnu.
Q47. A boat is moving at a constant speed against the stream that also flows with a constant speed. If the speed of the boat is increased by 16%, its speed in the upstream increases by 24%. What will be the percentage change in the downstream speed of the boat, if its speed is similarly increased by 16%?
Q48. Janvi has to meet a friend in a cafe and is driving her car at a constant speed. After driving for 2 hours, she receives a call from a friend who asks her to reach the cafe 1 hour earlier than originally planned. To achieve this, Janvi increases her speed by 50% and reaches 1 hour before the decided time. What is the total time (in hours) taken by Janvi to reach the cafe?
Q49. Train X started from town A towards town B at 8:00 AM and reached B at 4:00 PM. Train Y started from B towards A at 10:00 AM and reached B at 6:00 PM. At what time did both the trains meet each other?
Q50. Two trains, X and Y, while traveling towards each other on different tracks, they enter a tunnel that is as long as the combined length of both trains. Train X is 135 meters long, and train Y is 151 meters long. After 10 seconds, the two trains meet inside the tunnel. If their speeds are in a ratio of 5:6, how much length (in m) of train X is still outside the tunnel when it meets train Y?
Q51. Vivek departs from Delhi for Frankfurt on Monday at 9 AM IST and arrives there on the same day at 5:30 PM local time. He departs from Frankfurt at 2 PM on Tuesday and takes the same route and reaches India on Wednesday morning at 6:30 AM after a 2 hour delay due to poor weather mid flight. What is the time difference (in hours) between the two cities?
Q52. Harman needs to reach a destination 84 km downstream on a river. He can row at 14 km/h in still water. The river flows at a usual rate of 2 km/h but due to tides every two hours, the speed doubles and then after another two hours it halves. If Harman starts at 1:00 PM at the change of tide when the river begins to flow at 2 km/h, then at what time will he reach his destination?
Q53. Ramu started from his office at 13:30 hours and drove to his farmhouse, arriving there when the farmhouse clock indicated 14:20 hours. After staying for 20 minutes, he drove back by a different route of length 7/4 times the first route at a rate twice as fast, reaching the office at 15:05 hours. As compared to the clock at the office, the farmhouse clock is:
Q54. Two motor boats, V and W, start from a point on a river and follow the same route. V travels downstream at 10 m/s, while W starts 5 minutes later at 7 m/s downstream. Fifteen minutes after W has started, two passengers on boat V decide that they need to join their family members on boat W. They are left behind on a raft that floats along the river to be picked up by boat W. If the speed of the river’s current is 2 m/s, find the time (in minutes) for which the passengers stayed on the raft.
Q55. Tanu and Sana start from their homes at 9:30 AM and 12:00 PM respectively, in the same direction, to meet their other friends. Tanu moves at a speed of 7 km/h while Sana moves at the speed of 12 km/h. If Sana overtakes Tanu, then what time was it?
Q56. In a 1000 m race, A beats B by 30 seconds. B beats C in the same race by 30 seconds. If A beats C by 400 m, find the time taken by B to complete a race of 1200 m.
Q57. A 500-meter-long train is traveling at a speed of 60 km/h when it passes point A. At the same time when the train’s last carriage crosses point A, a car starts from point A with a speed of 80 km/h. When the car reaches the middle point of the train, the train increases its speed to 70 km/h and the car reduces its speed to 75 km/h. How much distance will the car travel (in km) while passing the train completely?
Q58. On a circular track, Deepu and Gagan start running simultaneously from the same point. They may run either in the same direction or in opposite directions. They meet for the first time at a point diametrically opposite to the point they started from. Which of the following options cannot be a possible value of the speeds of Deepu and Gagan, irrespective of the direction in which they run?
Q59. Three cars started simultaneously from town A to town B along the same highway. The second car traveled at a speed of 20 km/h more than that of the first car and reached town B one hour earlier than the first car. The third car arrived at town B thirty-six minutes earlier than the first car, traveling half the time with the speed of the first car and the other half at the speed of the second car. The distance (in km) between A and B is:
Q60. Sameer runs from point A to B every day. He runs at three different speeds ‘a’, ‘2.5a’ and ‘4a’ km/h for three different durations. He definitely knows the time intervals for which he should run at each of these speeds so as to reach point B. If one day he starts 20 minutes late from point A the extra time for which he runs at ‘2.5a’ km/h is 6 minutes. Find the extra time (in minutes) for which he runs at ‘4a’ km/h to reach point B at the same time.
Q61. A train started from Delhi at 7 AM and reached Bhopal at 3 PM. The next morning it started from Bhopal at 7 AM and reached Delhi at 3 PM using exactly the same route. Which of the following is definitely true?
Q62. Uday drives a bike having four gears such that its speed in the fourth gear is four times its speed in the first gear. The bike takes thrice the time to travel a certain distance in the second gear as compared to the third gear. In a 120 km journey, if Uday travels equal distances in each of the gears, he takes 540 minutes to complete the journey. In a 200 km journey the distances covered by him in the first, second and third gears are 5 km, 5 km and 85 km. If the remaining journey is covered in the 4th gear, then find the total time taken in minutes, to complete the journey.
Q63. Points P and Q are 300 km apart. Cars 1 and 2 travel from P to Q, but Car 2 starts from P when Car 1 is already 40 km away from P. Each car travels at a speed of 120 km/h for the first 100 km, at 60 km/h for the next 100 km, and at 30 km/h for the last 100 km. What is the distance (in km) between Car 2 and P when Car 1 reaches Q?
Q64. A boat starts from point A and moves towards B, while another boat starts from B and moves towards A at the same speed. The distance between the points A and B is 60 km. They meet at a point that is 10 km towards B from the midpoint of A and B. What is the ratio of the speed of the boat and stream respectively?
Q65. Train T1 departs from station A for station B at 9:30 AM, traveling at a speed of 80 km/h towards station C, which is situated 300 km away from A. Train T2 also departs from station A to station B at 10:00 AM, but it travels at a speed of 100 km/h. Just as T2 crosses T1, train T3, moving at 50 km/h, departs from station C towards station A. At what point in time will T3 meet T2?
Q66. A and B are participating in a race. They both start from the same point and run in the same direction. A runs at a constant speed of 12 m/s, while B runs at a speed that increases by 2 m/s every 10 seconds. Initially, B’s speed is 8 m/s. If the race track is 900 meters long, then what is the ratio of the time taken by A and B to complete the race?
Q67. Manish drives from his home to the railway station to catch a train. He drives 40 km in the first hour, but realizes that he will be 1 hour 15 minutes late if he continues at this speed. He increases his speed by 20 km per hour for the rest of the way to the railway station and arrives 15 minutes early. How many km is the railway station from his home?
Q68. A and B start a race of 1000 m simultaneously from the same end of a swimming pool whose length is 50 m. A beats B and meets him exactly 18 times during the course of the race. If A’s speed is 5 m/s, then the maximum integral speed of B (in m/s) will be:
Q69. A person is travelling from A to D via B and C. The distances AB, BC, and CD are equal. The average speed on the stretch AB is 20 km/h and that over the stretch CD is 12 km/h. Which of the following is the interval in which average speed (in km/h) in the stretch BC is located if the average speed of the total journey was 16 km/h?
Q70. Two cars start from the same point simultaneously and in the same direction. The first car travels at 40 km/h and the second car at 50 km/h. A third car starts 30 minutes later from the same point and in the same direction. It overtakes the second car 1.5 hours after it overtook the first car. What is the speed (in km/h) of the third car?
Q71. In a race of 400 m, Vikas beats Karan by 50 m or 4 seconds. If they start a race of 500 m simultaneously from the same point and if Karan after running 250 m reduces his speed to 80% of his usual speed, due to a niggle in his hamstring, then by how many seconds will Vikas beat Karan?
Q73. A car travels at 60 km/h for the first half time of the journey, at 30 km/h for the half of the remaining time of the journey, at 15 km/h for the half of the remaining time of the journey and so on until the car accomplishes its journey. The average speed (in km/h) of the car is equal to:
Q74. In a regular pentagonal track of length 1800 m, A and B both start simultaneously from the same vertex in the same direction. A runs at 25 m/s and B at 5 m/s. After covering 2/5th of the track, B realized that he forgot his baton and runs back to the starting point to pick the baton. When B finishes one full track length, how many times would they have met?
Q75. Harsh and Sahil run 200 metres, where Harsh beats Sahil by 20 metres. To do a favour to Sahil, Harsh starts 20 meters behind the starting line in the second 200 race. If they both run at their previous speed, then which of the following statements is true for the second race?
Q76. Two cars race around a circular track at constant speeds starting from the same point. If they travel in opposite directions, then they meet every 40 seconds. If they travel in the same direction, then they meet every 4 minutes 40 seconds. How long (in seconds) would the faster car take to complete one round of the circular track?
Q77. A and B are the two opposite ends of a swimming pool and the distance between them is 480 m. Nita and Tina start swimming towards each other at the same time from A and B, with speeds in the ratio 7: 8 respectively. As soon as any of them reaches an end, she turns back and starts swimming towards the other end. At what distance (in m) from A will they meet when Tina is in her 11th round? Note: A to B is considered one round and B to A another round.
Q78. Rohit and Ketan travel with uniform speed from A to B and B to A respectively, via the same route. Rohit starts at 5:00 am while Ketan starts four hours later. They meet, on the way, at 1:10 pm. At what time do they reach their destinations, if both of them reach at the same time?
Q79. Lata, Asha, and Usha are running around a circular track starting simultaneously from the same point in the same direction with uniform speeds. Lata runs at a speed of 8 m/s, Asha runs at a speed of 6 m/s, and Usha runs at a speed of 5 m/s. Three of them meet together after 2 minutes for the first time after they have started running. What is the length of the circular track (in meters)?
Q80. Points A, B, C and D lie on the same straight line such that B, C and D are 200 m, 300 m and 500 m away from A respectively. Anshu and Varun leave A at the same time and run towards D. Simultaneously; Malti leaves D and runs towards A. Malti meet Anshu at C, and Varun at B. If each person is running in uniform speed, then the speed of the fastest person is what percent more than that of the slowest person?
Q81. Two trains X and Y have lengths of 350 m and 250 m. When they run in the same direction, the faster train takes 150 seconds to cross the slower train. When they run in opposite directions, they take 25 seconds to cross each other. Find the ratio of the speeds of the trains X and Y respectively.
Q82. There are three runners Yatin, Umesh and Karan at the same point. Yatin starts running at a speed of 6 m/s from a point. After 10 seconds, Umesh starts running behind Yatin at a speed of 8 m/s. After 5 more seconds, Karan also starts running behind Umesh at a speed of 10 m/s. What is the distance (in m) between Karan and Umesh when Karan catches Yatin if all of them are running along a straight line?
Q83. A man rows 15 km in 1 hour in still water and in 90 minutes against the current. Find the time (in hours) taken by him to row 40 km with the current and return to the starting point.
Q84. A cyclist rode from point A to point B. His speed was 8 kmph, 16 kmph and 20 kmph during the first quarter, the second quarter and the third quarter of the total distance. In the last quarter of the distance, he rode half the distance at 20 kmph and the remaining half the distance at 40 kmph. The average speed of the cyclist over this journey was closest to:
Q85. Train ‘A’ crosses Train ‘B’ running in the opposite direction in 18 seconds. The faster train crosses a pole in 19 seconds and it is running at 72 km/hr. The slower train is 100 m shorter than the faster train. What is the speed, in km/hr, of the slower train?
Q86. Niteesh leaves for his school from home every day at the same time. If he travels at a speed of 15 kmph he reaches his school at 10:05 AM and if he travels at a speed of 24 kmph he reaches his school at 9:50 AM. At what speed should he travel, if he wants to leave home at 9:30 AM and reach his school exactly at 10 AM?
Q87. Two trains cross each other in 9 seconds when running in opposite directions along parallel lines. The driver of the slower train crosses the faster train in 5.22 seconds during the same crossing. If the faster train is 290 m long then the length of the slower train, in m, is:
Q88. Three men A, B and C are running on a circular track in a race in which the person who completes ‘N’ rounds first wins the race. In the race, A beats B by 450 metres and C by 900 metres. Similarly, B beats C by 540 metres. If the length of the circular track is 900 metres, then the value of N is:
Q89. P, Q, R run in the clockwise direction around a circular track that is 600 m long, with speeds of 9 km/hr, 18 km/hr and 27 km/hr respectively. They all start from point X, simultaneously. How much time after the start will they all meet again for the first time at X?


















We at Quantifiers understand and deliver on the personal attention each of our students requires. Whether it is through our pedagogy that enables non-engineers or non-math background students, our constant effort to proactively provide solutions, or our focus on our student’s goals.