300 Most Important Algebra Questions for CAT

Functions

Functions are a conceptual and scoring component of Algebra for CAT 2026. Practice carefully designed CAT algebra important questions covering function properties, transformations, and composite concepts. These questions reflect repeated CAT patterns and application-driven problem types. To build deeper clarity, combine this with Inequalities, Logarithms, and Linear Equations & Polynomials practice.

Functions Question 1
1
4
7
3

Q2. The number of integers ‘n’ that satisfy the inequalities |n – 33| < |n – 50| < |n – 13| is:

10
11
12
13

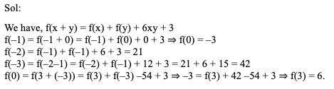
Q3. A real valued function f(x) is such that f(x + y) = f(x) + f(y) + 6xy + 3 for all real values of x and y. Find the value of f(3) if f(–1) = 6.

0
-6
6
-3

Functions Question 4
16
21
19
25

Functions Question 5

Q6. Let |m – 3| + |n – 4| = 6, where m, n are one digit whole numbers. What is the maximum value of m × n.

Q7. Let |x + y| + |x – y| = 4, then what is the maximum possible value of x2 – 8x + y2 – 3y?

Functions Question 8

Q9. If f(x) = x2 – 10x and g(x) = 2x + 5, where x is real, then the minimum value of f(g(x)) – 4x is:

-34
-30
-26
-24

Q10. For any real number ‘x’, the condition, |7x – 70| + |7x – 140| ≥ k, necessarily holds true. The maximum possible value of k is:
60
50
75
70

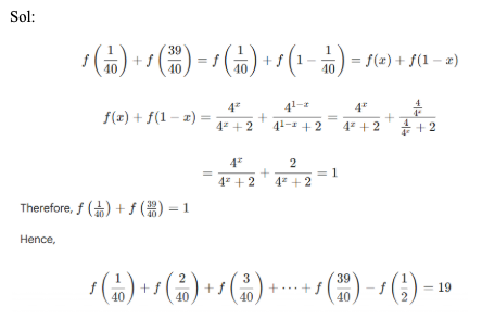
Functions Question 11
32/21
21/12
12/21
21/32

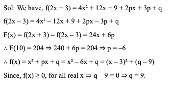
Q12. f(x) = x2 + px + q and f(x) ≥ 0, for all real values of x. If F(x) = f(2x + 3) – f(2x – 3) and F(10) = 204, then the smallest possible value of q is:

2
9
0
1

Q13. The function f(x) = |x – 1| + |2.8 – x| + |x – 3|, where x is a real number, can attain a minimum value of:

1
2
3
2.5

Q14. If 4|3x + 1| = 162x – 4, find the sum of all the possible values of x.

8
9
10
11

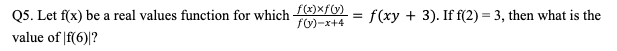
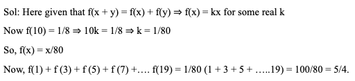
Q15. If f (x) + f (y) = f (x + y), where f (t) > 0 for any t > 0, find the value off f(1) + f (3) + f (5) + f (7) +…. f(19), given f (10) = 1/8.

4/5
3/7
5/4
8/3

Q16. How many integral values of x satisfy the equation x = |2x – |120 – 3x||?

1
2
4
3

Q17. Find the value of (x – y), if |x + 2017| – |x – 2017| = 2 and |y – 2017| – |y + 2017| = 2

0
2
3
Cannot be determined

Q18. For all integers x, f(f(x)) = f(x + 2) – 3. If f(1) = 4 and f(4) = 3 then find the value of f(5).

10
11
14
12

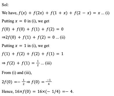
Q19. Let f(x) + f(2x) + f(1 + x) + f(2 – x) = x for all x. What is the value of 16 × f(0)?

-6
-8
-4
0

Q20. What is the area of the closed region bounded by the equation |x| + |y| = 8?
32
60
64
128

Q21. If |x – 1| – |x| + |2x + 3| ≥ 2x + 4, where x ≥ –10, then the possible integer values of x is:
11
12
14
10

Q22. If f(x) = |x – 4| and g(x) = x2, find the number of values of x for which f(g(x)) = g(f(x)).

0
1
2
3

Q23. Find the solution set for [x] + [2x] + [3x] + [4x] = 14, where x is a real number and [x] is the greatest integer less than or equal to x.

x < 5/3
3/2 ≤ x < 5/3
1 ≤ x < 4/3
1/2 ≤ x < 2

Functions Question 24

Q25. If y = |x – 2.5| + |x – 3.6| + |x – 4.7| + ……… + |x – 16.8|, for how many real values of x does y attain its minimum possible value?

1
3
10
Infinite

Q26. For a real number k, f(x) = 2kx + 9. If 3f(3) = f(6) and f(9) – f(3) = N, where N is a natural number. Find the sum of the digits of N.

2
3
5
6

Q27. If f(x2 – 2) = 5x4 – 3bx2 + 5c and f(x – 3) = 2x3 + 3cx – 2b, then b + c is:
-11
-17/2
-80/7
Cannot be determined

Q28. Find the number of integer values of x for the function f(x) = |x| + |x – 1| where the value of f(x) achieves its lowest possible value.

0
1
2
More than 2

Functions Question 29
10
8
7
12

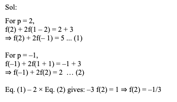
Q30. A function f(p) is defined as f(p) + 2f(1 – p) = p + 3. The value of f(2) will be:

1/3
-1/3
-7/2
3/2

Q31. It is given that 3 < x < 4 where x is a real number, and |x ‒ a| + |x ‒ b| = 4 where both ‘a’ and ‘b’ are real numbers such that a ≤ 3 and b ≥ 4. Find the minimum value of ‘a’ and the maximum value of ‘b’, respectively.

0, 5
0, 4
1, 6
0, 7

Q32. Find the number of integer values of x for the function f(x) = |x| + |x – 1| where f(x) = f(f(x)), given that x is a real number.

0
1
2
4

Q33. It is given that |15 – a| = |15 – b| and |10 – b| = |10 – c|, where a, b, c are distinct natural numbers. How many distinct sets of {a, b, c} are possible?

17
18
20
19

Functions Question 34
10
14
12
18

Q35. Let f(n) and g(n) be functions defined on all positive integers such that f(n) = n3 and g(n + 1) = 10 – g(n). If g(n3 – n) = 7, then find f(g(1)) – g(f(2)).

Q36. Find the value f(f(f(f(30)))) if for all integers ‘x’, there is a function f such that f(x2 + x) = 20.

Functions Question 37
7
9
11
13

Functions Question 38

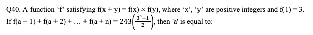
Q39. A function ‘f’ is defined on all natural numbers ‘a’ and ‘b’ such that f(a × b) = f(a) × f(b). If the output of the function is also a natural number and f(3) > f(2) > f(1), then find the value of f(48), given that f(54) = 375.

405
415
390
420

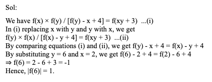
Functions Question 40
5
4
6
7

Q41. If f(xy) = f(x) × f(y) for all positive integers, ‘x’ and ‘y’, and f(2) ≠ f(3), then the value of f(1) is:

Q42. If y = |x + 1| – |x – 2|, then which of the following is true of y?

– 3 ≤ y ≤ 0
– 3 ≤ y ≤ 3
y ≤ - 3
y ≥ 3

Q43. If f(x) minimum of (3x + 5, 10 – 2x), what is the maximum possible value of f(x)?

1
4
5
8

Q44. If f(x) = x – a, then f(f(f(x))) is:

x3 - a3
x - 3a
3(x -a)
3x - a

Functions Question 45
1
54
55
27

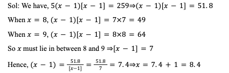
Q46. If [x] denotes the greatest integer function less than or equal to x, then the value of x for which 5(x – 1) [x – 1] = 259 is: 

7.4
8.6
8.4
7.6

Q47. For all natural numbers x, f(1) + f(2) + f(3) + … + f(x) = x3 f(x) and f(8) = 91, then which of the following numbers is the possible factor of f(8) – f(9)?

2
3
5
7

Q48. If f(x) + f(x – 1) = x2 for all real values of x such that f(29) = 80, then find f(80).

Q49. Let f(n) be a function defined as f(n + 2) = f(n + 1) + f(n) for all positive real values of ‘n’. If f(1) = f(2) = 1, then find the highest common factor of f(8) and f(12).

1
2
5
3

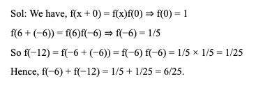
Q50. Let f(x + y) = f(x)f(y), for all x, y. If f(6) = 5, then f(–6) + f(–12) is:

6/5
25
6/25
24

Q51. A function f is defined such that f(1) = 2, f(2) = 5, and f(n) = f(n – 1) – f(n – 2) for all integer values of n > 2. What is the value of f(100)?

Q52. If f(x) is a real function such that 3f(x) = f(x + 1) + 2f(x – 1) for all x ≥ 1 and f(0) = 1, f(1) = 2 then f(7) is equal to: 

Q53. Let for all real values of x, f(2x) = 4f(x) + 6, f(x + 2) = f(x) + 12x + 12 and f(1) = 1. What is the value of f(42)?

5290
6468
4240
4678

Q54. Let f be a function such that f(x) = f(x – 2) – f(x – 1) where x ≥ 3. If x is a natural number and f(1) = 0, f(2) = 1, then what is the value of f(9)?

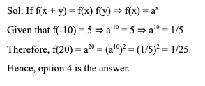
Q55. If f(x + y) = f(x) f(y) and f(0) ≠ 0 for any value of ‘x’ and ‘y’. f(–10) = 5, what is f(20)?

10
25
1/10
1/25

Q56. Let f(x) = min {182 – 11x, 30 + x2}, where x is a positive real number. Find the maximum possible value of f(x).

90
92
91
94

Q57. A function is defined as f(n) = 2(n – 1) + f(n – 1) for positive integral values of n. If f(0) = 1, then find the value of f(n) × f(m), where n × m = 9 and n ≠ m.

73
49
273
Cannot be determined

Q58. Let f(x) = [x], where [x] denotes the greatest integer less than or equal to x. If ‘a’ and ‘b’ are two real numbers such that f(3b – 2) = a – 2 and f(a + 2) = b + 6, then find the sum of a and b.

Functions Question 59
15
16
17
18

Functions Question 60
logs 60.1
logs 60.2
logs 60.3
logs 60.4

Functions Question 61

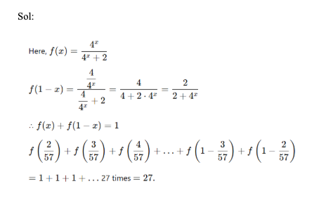
Functions Question 62
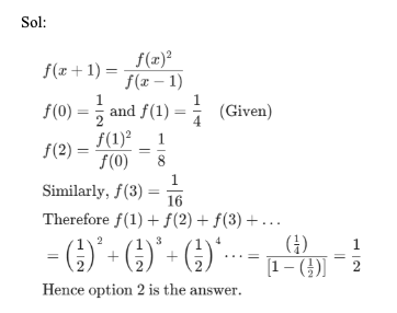
1/4
1/2
1
1/8

Q63. A function f(x) is defined as f(x) = x3 – bx2 – a2x – 24c such that f(a) = f(b) = f(c) = 0 and c = – 12. Find the value of f(3).

10
-120
-135
40

Q64. A function f(x) is such that, f(x) + f(1 – x) + f(1 + x) + f(2 + x) = 2x for all real values of x, and f(0) = 1, then find the value of f(4).
5
0
6
4

Functions Question 65
50
25
49
Cannot be determined

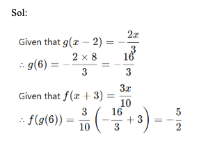
Functions Question 66
260
280
290
300

Q67. For how many integral values of x will the function f(x) = |x – 1!| + |x – 2!| + |x – 3!| + |x – 4!| assumes the minimum value?

best CAT Coaching

We at Quantifiers understand and deliver on the personal attention each of our students requires. Whether it is through our pedagogy that enables non-engineers or non-math background students, our constant effort to proactively provide solutions, or our focus on our student’s goals.