300+ Most Important Algebra Questions for CAT

Quadratic and Higher Order Equations

Quadratic Equations are one of the most important and frequently tested topics in Algebra for CAT 2026. This page includes carefully selected CAT algebra important questions based on repeated quadratic concepts seen in previous CAT exams. The set focuses on roots, nature of equations, and application-based problems. Once comfortable, explore Linear Equations & Polynomials, Inequalities, and Logarithms to strengthen interconnected algebra concepts.

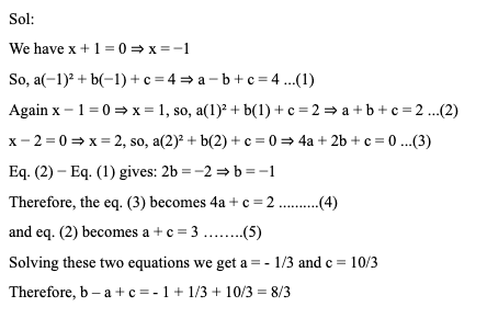
Q1. A polynomial ax2 + bx + c when divided by x + 1 leaves a remainder 4. When it is divided by x – 1, the remainder is 2 and when it is divided by x – 2, the remainder is 0. What is the value of b – a + c?

1
4
7/4
8/3

Q2. If x satisfies the equation |x² – 5x + 3| + |x – 3| = x – 4, then the number of integer values of ‘x’ is/ are:

0
1
3
2

Quadratic Equations Question 3

Q4. If the equation x2 + mx + 96 = 0 has two distinct integer roots, then how many distinct values are possible for |m|?

6
5
12
10

Q5. Let p be a common root of the quadratic equations x2 – 8x + c = 0 and x2 – bx + 8 = 0. If the other roots of the first and second equations are integers in the ratio 3: 2, then the absolute difference between the other roots of the equations is:

1
2
4
6

Q6. f(x) is a quadratic function with the coefficient of highest power of x as 1 and has two real roots. f(0) = 9, and f(–9) = f(35). If the minimum value of f(x) is k, then find the value of k2.

Quadratic Equations Question 7

Q8. Let p, q be the integer roots of the quadratic equation a1x2 + b1x + c1 = 0, a1 ≠ 0 and r, s be the integer roots of the quadratic equation a2x2 + b2x + c2 = 0, a2 ≠ 0 such that p : q = 1 : 2 and r : s = 4 : 5. If p + q = r + s, then the least possible value of |rs − pq| is:
1
2
0
3

Q9. What is the value of A such that the sum of the squares of the roots of the quadratic equation x2 + (4 – A)x + 3 – A = 0 has the least value?
10
4
3
8

Q10. It is given that f(x) = ax2 + bx + c where a (≠ 0), b and c are rational, and f(n + x) = f(n – x) for every real x where n is an integer. If f(x) = 0 has only one real root, then the value of f(n) equals to:

0
1
-1
Cannot be determined

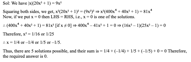
Q11. The sum of all the values of ‘x’ satisfying the equation |x|(20x2 + 1) = 9x2 is:

Q12. ‘a’ and ‘b’ are two positive integers. If x2 + 2ax + 2b = 0 and 2x2 + 3bx + a = 0 have real roots, then the smallest possible value of (a + b) is:

4
6
2
5

Q13. If k is a constant such that |3x2 – 12 x + 7| = k has exactly three distinct roots, then the value of k is:

5
4
8
3

Q14. A shop has shoes of two different colours – Black and White. The price of a pair of black shoes is Rs 30 less than that of the white shoes. The sum of the prices of all black shoes in the shop is Rs 7000 and that of all white shoes is Rs 6800. If there are a total 90 pairs of shoes present in the shop then the price of a pair of black shoes and a pair of white shoes together, in INR, is:

300
340
310
400

Q15. The real root of the equation 34x + 32x+2 − 22 = 0 is:

log32
log34
(log32)/2
(log23)/3

Q16. If f (x) = ax2 + bx+ c and f (x + 5) = 2x2 + 15x + 29, find the value of a + b + c.

1
2
-1
4

Q17. A fruit shop sells apples in boxes of different sizes. The selling price of each apple is Rs 5 per fruit. The minimum number of apples in a box is 100 and for every additional 25 apples added to the box, the price of the entire box goes down by 25 paise per apple. What should be the number of apples in the box that would maximise the selling price of the box?

Q18. Let ax2 + bx + c = 0 be a quadratic equation such that a, b, c are rational numbers and a ≠ 0. If the sum of the roots of the equation is 3 and sum of their squares is 1, then the value of c/b is:

-1/3
-2/3
-4/3
-5/3

Q19. The roots of the quadratic equation x2 – 24x + K = 0 are both prime numbers. The difference between the maximum and the minimum values of K is:

23
24
43
48

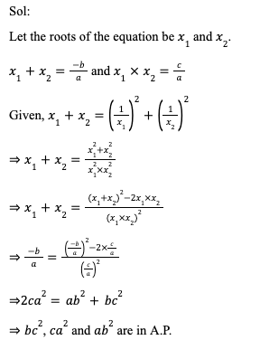
Q20. The sum of the roots of the quadratic equation ax2 + bx + c = 0 is equal to the sum of the squares of their reciprocals. If a, b and c are real numbers, and a ≠ 0, then bc2, ca2 and ab2 are in:

AP
GP
HP
None of these

Q21. From the set of the first 9 natural numbers, three distinct prime numbers a, b and c are selected to form a quadratic equation of the form ax2 + bx + c = 0, having real roots. How many such equations can be formed?

Q22. Let f(x) = x2 + ax + b be a quadratic, where a and b are integers with 5 ≤ a, b ≤ 11. For how many distinct ordered pairs (a, b) will f(x) not have real solutions?

5
3
6
7

Q23. The polynomial p(x) = x3 + ax2 + bx + c has the property that the sum of its roots is three times the product of its roots which is equal to the sum of the coefficients of the polynomial. If c = 4, then what is the value of b?

-21
36
-19
32

Q24. Gopal bought a total of 96 face mask packets and hand sanitizer bottles. The price a packet of face mask was Rs. 40 less than that of a bottle of hand sanitizer. If he paid a total of Rs. 7,200 for bottles of hand sanitizers, and a total of Rs.2,880 for packets of face masks, then find the total price (in Rs.) paid for one bottle of hand sanitizer and one packet of face mask.

180
200
320
230

Q25. Let p and q be the roots of the equation x2 + 7x – 11 = 0. If roots of the equation 3x2 + bx + c = 0 are p – 2 and q – 2, then the value of b – c is:

Q26. For how many integer values of c, the equation |x2 – 6x – c| = 10 has exactly two different real roots?

2
18
19
20

Q27. The sum of the roots of a quadratic equation ax2 + bx + c = 0, where a, b, c are real numbers and a ≠ 0, is 11 less than the product of the roots. If one root is 1 less than the other root, then the value of b/c is:

-5/6 or 9/20
5/6 or -9/10
-6/7 or 3/5
5/6 or -9/20

Q28. If –6 is a root of the equation 2x2 + px – 18 = 0, and the equation p(x2 + x) + (k + 1) = 0 has equal roots, then the value of ‘k’ is:

5/4
4/5
3/2
2/3

Q29. Let ‘m’ be an integer such that the equation x2 + (m − 4)x + 2 = 0 has two distinct real roots while the equation 3x2 + mx + 5 = 0 has no real roots for ‘x’. Then, the number of possible values of ‘m’ is:
15
14
10
9

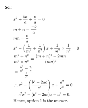
Quadratic Equations Question 30
3/2
2
3
Both options (1) and (2)

Q31. The roots of the equation ax4 + bx3 + cx2 + dx + e = 0 are all real where a (≠ 0), b, c, d, e are all real. Which of the following will definitely be true if b2 = 2ac?

Sum of any two roots is equal to the sum of the other two roots
b + c + d = e
Product of the roots is not positive
All of them

Q32. Which of the following is equal to (a2 – b2 ) if the two roots of the equation ax2 + bx + c = 0 (where a ≠ 0) are two consecutive integers?

4ac
-4ac
2ac
-2ac

Q33. If p is real and x2 = 1 ‒ (3x ‒ p)2 has only one unique root which is positive, then the value of p2 is:

0
1
4
10

Q34. If ‘x’ and ‘-x’ are real roots of 2y3 + ky2 − 36y + 126 = 0, then ‘k’ equals

3.5
-3.5
-7
6

Q35. Let a and b be two real numbers. If 2 and ‒2 are roots of ax3 + bx2 ‒ 7x + 8 = 0, then b equals:

2
-2
3
-3

Quadratic Equations Question 36

Q37. The minimum possible value of the sum of the squares of the roots of the equation x2 – (3p + 4)x – (3p + 5) = 0, where ‘p’ is real, is:
0
1
2
4

Q38. Let ‘a’ be a non-zero real number. If 5/a is a root of ax3 ‒ 5x2 ‒ 6x + 15 = 0 then the value of ‘a’ is:

Quadratic Equations Question 39

Q40. Suppose the function f(x) = x2 + bx + c attains its minimum value of –9 at x = 7. What is the product of the roots of the equation f(x) = 0?

33
40
36
Cannot be determined

Q41. Let f(x) be a quadratic polynomial in ‘x’ such that f(x) ≥ 0 for all real numbers ‘x’. If f(3) = 3 and f(4) = 0, then f(1) is equal to:

12
27
33
18

Q42. In how many points do the graphs of the curve y = |x2 ‒ 12x + 20| and the line y = 10 intersect?

Q43. Suppose ‘b’ is a natural number. The roots of both quadratic equations x2 + 8x + b = 0 and x2 + bx + 8 = 0 are real, then how many distinct values can ‘b’ take?

10
11
12
7

Quadratic Equations Question 44
1 ≤ M < 2
2 ≤ M < 3
3 ≤ M < 4
4 ≤ M < 5

Quadratic Equations Question 45
1
2
3
4

Q46. Let ‘a’ and ‘b’ be non-negative real numbers. If a2 + ab + 3a = 25 and b2 + ab + 3b = 45, then (a + b)2 equals:

100
49
72.25
42.25

Q47. Let p, q, r and n be non-zero real numbers such that 2pn + q = 0 and f(x) = px2 + qx + r. If |p| > p then which of the following is correct?

f(n) = f(n – 5)
f(n) < f(n + 5)
f(n) > f(n + 5)
f(n) < f(n – 5)

Q48. Suppose m is any real number such that the quadratic function f(x) = 2x2 + mx + 7 equals to zero when x = (‒m/4). Then we can conclude that:

The equation f(x) = 0 has imaginary roots
The equation f(x) = 0 has two distinct real roots
Roots of the equation f(x) = 0 are real and equal
f(x) < f(‒m/4) for all real x

Quadratic Equations Question 49

Q50. How many pairs (a, b) of integers satisfy the equation a2 + 48 = b2?

Q51. A cubic equation ax3 + bx2 + cx = 0 has three real roots α, β and γ, where a, b, c are rational. The value of (1/α + 1/β + 1/γ) is:

1
3
0
Undefined

Q52. Let f(x) = min{2x2, 52 – 5x}, where ‘x’ is any real number. Find the number of integral values for ‘x’, where f(x) = 2x2.

Quadratic Equations Question 53

Q54. A quadratic function f(x) attains its minimum value of – 15 at x = 3. If f (0) = 5, find the value of f (9).

Q55. The graph of a quadratic expression, ax2 + bx + c, attains a maximum value of 10 at x = 2. If the graph intersects the x-axis at two points, one positive and the other negative, then which of a, b and c is/are positive?

Only c
Only b
Both b & c
Both a & c

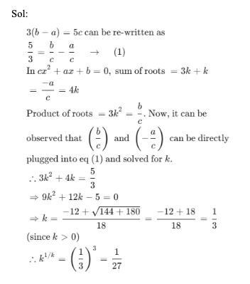
Q56. If the equation cx2 + ax + b = 0 has two positive roots, k and 3k and 3 (b – a) = 5c, then find the value of k1/k.

1/3
1/27
31/3
1

Quadratic Equations Question 57
0
1
2
3

Q58. Jatin and Himanshu were given a quadratic equation in x to solve. Jatin made a mistake in copying the constant term of the equation and got a root as 12. Himanshu made a mistake in copying the coefficient of x as well as the constant term and got a root as 2. Later, they realized that the mistakes they committed were only in copying the signs. The difference between the roots of the original equation is:

2
4
10
Cannot be determined

Q59. If the roots of the equation x2 − ax + b = 0 are 2 and 3, and the roots of the equation x2 + αx + β = 0 are a and b, then what is the value of α + β?

Q60. If both ‘a’ and ‘b’ belong to the set {1, 2, 3, 4, 5} then the number of equations of the form x2 + ax + b = 0 having complex roots is (where ‘a’ and ‘b’ need not necessarily be distinct)

Q61. Two quadratic equations have a common positive root. The equation satisfied by the other two roots is x2 – 5x+ 6 = 0. The sum of all possible products of the four roots, taken two at a time is 150. Find the absolute difference between the products of the roots of the two equations.
18
12
8
16

Q62. The number of real solutions of the equation x2 – 5|x – 1| – 1 = 0 is:

1
2
3
4

Q63. Let ax² + bx + c = 0 be a quadratic equation, where a, b and c are rational numbers and a ≠ 0. If one of the roots of the equation is (1 + √2), then bc/a² is:

1/2
1
2
4

Q64. What is the sum of all the real roots of the equation |x – 3| (|x – 3| + 1) = 20?

10
-8
6
-12

Q65. Total Rs. 7,800 is raised for a picnic by collecting the equal amount from a certain number of students. If there were 26 more students to raise the same amount, each student would have to contribute Rs. 400 less, how many students actually contributed?

Q66. If r is a constant such that |x2 – 8x + r| = 1 has only one distinct real root, then the possible integral value of r is:

15
16
17
18

Q67. Class A has 6 less students than class B. The sum of total marks obtained by class A students were 288 and that of class B were 396 in the same test. If the average marks obtained by class A students were 2 more than the average marks obtained by class B students, then the sum total number of students of class A and class B are:

28
30
45
48

Q68. What is the number of integers that satisfy the equation (x2 – 7x + 11)x – 1= 1?

Q69. If the equation 2x2 + (k + 6)x + 4kx + 8 = 0 has equal roots, then the sum of all values of k is:

0
-1.2
-2.4
3.2

Q70. What is the sum of all possible values of x that satisfy the equation x|x| – 10x – 24 = 0?

Q71. If f(x) = px2 – qx + 4 is a quadratic function and the roots of f(x) = 0 are the reciprocals of the roots of another quadratic equation g(x) = 0, then what is the quadratic function g(x)?

4x2 + qx – p
4x2 – qx – p
4x2 – qx + p
4x2 + qx + p

Q72. For how many integral values of p, both the roots of the equation 2x2 + (4p – 1)x + 2p2 –1 = 0 are real, negative and unequal?

Q73. Find all the values of b, such that 8 lies somewhere between the roots of the equation x2 + 2(b – 4) x + 16 = 0. (‘x’ is a real number.)

b > -1
b > 8
0 < b < 8
b < -1

Q74. The coefficients a, b and c in the quadratic equation ax2 + bx + c = 0, are three consecutive terms of a geometric progression in that order. If c = 2(5b – 12a), then which of the following can be the product of the roots of this equation?
16
25
30
24

Q75. If the roots of the equation x2 + px + q = 0 are two consecutive multiples of 5, then find the value of (p2 /4) – q.

5.75
6
6.25
6.5

Q76. The roots of the equation x2 – 6x + k = 0 are p and q such that p > q and the difference of squares of the roots is 24, then find the value of 2k.

8
10
12
6

Q77. The number of real solutions of the equation x2 – 7|x| + 12 = 0 is:

Q78. Find ‘m’, if the roots of the equation x3 – 24x2 + mx – 384 = 0 are in arithmetic progression.

176
166
170
180

Q79. The function F is defined as F(k) = 2k3 – 3k2 – 5k + 7 and the function G is defined as G(k) = 2k3 + k2 + 7k + 15. Find the product of all values of ‘k’ for which F(k) and G(k) are equal.

2
1
8
-2

Q80. Consider two functions f(x) = x2 + 6x + 9 and g(x) = x2. X1 and X2 respectively are the values at which functions f(x) and g(x) attain minimum value. Find |X1 – X2|.

1
2
3
4

Q81. Harshit knows that (x3 + mx2 + nx + k) is divisible by (x – p) if p3 + mp2 + np + k = 0. He is told to find the value of (b + c) using the information that a3 + a2 + ba + 1 is divisible by (a – 1) and a3 – 4a2 + ca – 3 is divisible by (a – 3). What is Harshit’s answer?

1
2
3
0

Q82. If a and b are the roots of the quadratic equation: x2 – 3x + 9 = 0, then find the quadratic equation having its roots as a2 and b2.

x2 + 18x – 81 = 0
x2 + 9x + 81 = 0
x2 – 9x + 81 = 0
Cannot be determined

Quadratic Equations Question 83
2
4
5
6

Quadratic Equations Question 84
22/7
18/7
-18/7
-22/7

Q85. What is the number of common roots of the two equations given below?
x3 – 3x2 + 2x + 5 = 0
x3 + x2 + 7x + 6 = 0

0
1
2
3

Quadratic Equations Question 86
0
2
3
4

Q87. A quadratic function ax2 + bx + c attains its maximum value of 3 at x = 1. The value of the function at x = 0 is 1. What is the value of the function at x = 10?

–119
–159
–110
–180

Q88. The nature of the roots of the equation 2x2 + 2(p + 1)x + p = 0 is:

Equal when p is real.
Real for all real values of p.
Complex conjugates for all values of p.
None of these

Q89. When Rahul substitutes x = 1 into the expression ax3 – 2x + c its value is – 5. When he substitutes x = 4, the expression has value 52. One of the values of x that makes the expression equal to zero is:

-1
2
0
3

Q90. It is given that a and b are roots of equation x2 – 13x + m = 0, b and c are roots of the equation x2 – 15x + n = 0. If a, b, c are in Arithmetic Progression, find the value of n – m.

28
14
56
42

Q91. The roots of the quadratic equation 2x2 – kx + 78 = 0 are integers. The number of values that k can take if both the roots are more than 1 is:

1
2
4
8

Q92. Find the number of integral values of ‘x’ for which y = ‒2x2 + 3x + 7. is not negative.

0
4
2
3

Q93. If f(x) = x3 ‒ 3x2 + px + q for all real numbers x, and f(3) = 22, f(5) = 82. Find the value of ‘n’ if f(n) = 538.

8
9
11
n can take multiple values

Quadratic Equations Question 94

Q95. Suppose and are the roots of a quadratic equation such that their sum is 12 and their product is 32. A cubic equation x3 + ax2 + bx + c = 0 has α,β and (α+β) as its three roots. What is the value of ‘c’?

-176
176
-384
280

Q96. How many real solutions exist to equation x3 + 2x2 – 3x – 10 = 0?

0
1
2
3

Q97. For a quadratic equation ax2 + bx + c = 0, the sum of the square of its roots is equal to the sum of the cubes of its roots. If b3 + ab2 = 2a + 3b ≠ 0, then find the value of ‘ac’.

0
1
-2
4

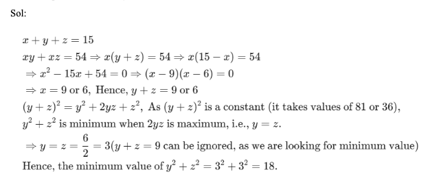
Q98. If x, y, and z are three integers such that x + y + z = 15 and xy + xz = 54, then what is the minimum possible value of y + z?

Q99. If the two quadratic equations, x2 – ax + 3 = 0 and x2 + ax – 5 = 0, have one positive root in common, then find the value of a.

best CAT Coaching

We at Quantifiers understand and deliver on the personal attention each of our students requires. Whether it is through our pedagogy that enables non-engineers or non-math background students, our constant effort to proactively provide solutions, or our focus on our student’s goals.