Linear Equations & Polynomials form a core part of Algebra for CAT 2026 and are among the most tested areas in CAT Quant. Practice curated CAT algebra important questions focused on repeated linear and polynomial concepts. These questions are aligned with exam-level difficulty and recent CAT patterns. After mastering this, you can also strengthen related areas like Quadratic Equations, Inequalities, and Functions to build complete algebra command for CAT 2026.
Q1. If 8a2 + 1/b = 6 and 6b2 + 1/a = 8, then what can be the value of (ab)2?
Q2. For k ≠ 1, (1 – k)(1 + 2x + 4x2 + 8x3 + 16x4 + 32x5) = 1 – k6, then what is the value of k/x?
Q3. An ice cream vendor sells ice creams for Rs. 5 and Rs. 7. The vendor sold ‘a’ Rs. 5 ice creams and ‘b’ Rs. 7 Ice creams costing Rs. 420 on a Sunday evening. If ‘a’ and ‘b’ are natural numbers, then how many pairs of (a, b) are possible?
Q4. Total cost of 7 pens, 8 pencils and 3 erasers is equal to the total cost of 3 pens, 4 pencils and 8 erasers, which is also equal to the total cost of 11 pens and 4 erasers. If the cost of ‘n’ pens is equal to the cost of 6 erasers, then the value of ‘n’ is:
Q5. One-way air ticket of FlyGo airlines from Kolkata to Mumbai costs Rs 5000. One part of the operating expenses of the airlines is fixed and the other part is proportional to the number of passengers on board. When the number of passengers is 200, the profit of the airlines is Rs 500 per passenger; and when the number of passengers is 250, the profit of the airlines is Rs 1000 per passenger. The total profit of the airlines, in INR, when the number of passengers is 300, will be:
Q6. If x + 1/x = 3, find the value of x44 + x3 + x2 + x + x0 + x-1 + x-2 + x-3 + x-4.
Q7. In a tuition, 70% of the students are male and x% of the male students and y% of the female students are IIT aspirants. The total number of IIT aspirants who are male and non-IIT aspirants who are female is equal to the total number of non-IIT aspirants who are male and IIT aspirants who are female. Which of the following could be the possible value of (x, y)?
Q8. If 4|x| + 3y = 18 and 3x + 2|y| + 5 = 0, then 6x – 5y is:
Q9. If Neeta has coins of denominations Re. 1, Rs. 2 and Rs. 5, in how many ways can she make a payment of exactly Rs. 11?
Q10. How many ordered pairs (a, b) are there for which the system of equations 3x + ay = b and ax + 12y = 48 will have infinite solutions?
Q12. Ashish had Rs. 100 which he completely used up to buy a, b, c quantities of toffees, chocolates and packets of chips each of which cost him Re.1, Rs. 15 and Rs. 25 respectively. If he bought at least one unit of each item, the number of triplets (a, b, c) that is possible is:
Q14. If x + y = 1, the maximum value of xy4 + x4y is:
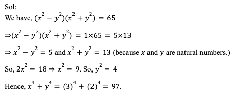
Q15. If x4 – y4 = 65, where x and y are natural numbers, then the value of the expression x4 + y4 is:
Q16. Mohan gave a test that consists of two sections A and B comprising of 32 and 40 questions respectively. For every correct answer in section A and B, Mohan is rewarded with 3 and 4 marks respectively. For every wrong answer in section A and B, 2 marks and 3 marks are deducted and for every unattempted question in section A and B, 1 mark and 0 marks are deducted respectively. If Mohan got 200 marks in the test and he got the maximum possible marks in section B, then the maximum number of questions left unattempted by him can be:
Q17. If the equations 2|y| = 6 – 3x and 2|x| = 8 – 3y, then the sum of all values of x and y is:
Q18. If a pack of 3 pens, 5 pencils and 4 erasers costs as much as a pack of 2 pens, 5 pencils and 7 erasers or a pack of 10 pencils and 6 erasers, then the cost of any one of the packs is equal to the cost of how much erasers?
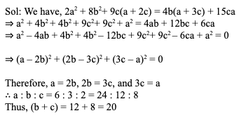
Q21. Find the value of (b + c) if a = 24 and 2a2 + 8b2 + 9c(a + 2c) = 4b(a + 3c) + 15ca, where a, b, c are real.
Q22. Charan and Damodar are the children of Aabir & Bharti, who are married to each other. Damodar is 3 years younger than Charan. Five years ago, Aabir was five times as old as Charan. If, at present, the average age of all of them is equal to the average age of Charan and Bharti, and Bharti was 29 when Charan was born, then, find the current age (in years) of Damodar.
Q23. A fast-food joint sells three types of items – burgers priced at ₹ 80 each, dosas priced at ₹ 50 each and fruit juices priced at ₹ 35 each. On a particular day, exactly 60 items were sold and the total earnings from this was ₹ 2700. What could be the maximum number of burgers sold?
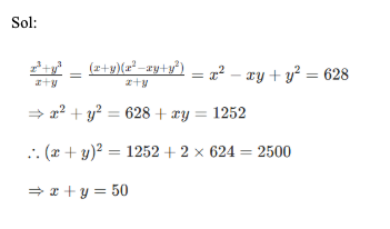
Q24. The product of two positive numbers is 624. If the ratio of the sum of their cubes to their sum is 628: 1, then the sum of the two numbers is:
Q25. If 4x + 3|y| + 2y = 19 and 3x + |x| + 5y = 1, then 4x + 5y is:
Q26. Let ‘x’ and ‘y’ be two real numbers. If x(y2 + x2 + 2y2) = 158 and y(x2 + y2 + 2x2) = 185, then the value of {(x + y)2 + 1} is:
Q27. A total of 12 turtles were tracked in a project of tracking the movement of turtles at Marina beach in Chennai. There were two types of turtles- Turtle A and Turtle B. Each turtle of type A covered 19300 cm, while each turtle of type B covered 13000 cm. The sum of the distances covered by the 12 turtles was 187500 cm. If the numbers of turtles of type A and type B were interchanged, how much more/less would have been the sum of the distances covered by the 12 turtles?
Q28. The sum of squares of three positive numbers is 1883 and the sum of products of all possible combinations of these three numbers taken two at a time is 1871. What is the sum of these three numbers?
Q29. A poultry farm has only two types of birds – hens and ducks. If we multiply the number of hens with the number of ducks and add it to the number derived by multiplying the number of ducks with the number of hens, the summation will be one less than the number derived by adding number of hens multiplied by the number of hens and number of ducks multiplied by the number of ducks. The farm has a total of 379 birds. How many ducks are there in the farm if it is known that the number of hens is more than the number of ducks?
Q31. In a casino, there were three different coloured tokens — Red, Green and Blue — with face values of Rs.20, Rs.50 and Rs. 100 respectively. The total worth of all the tokens in the casino was Rs. 18,500. On a busy day, when the tokens were not sufficient, all the Red tokens were given a new face value of Rs.200 (while there was no change in the value of the Green and Blue tokens). The net worth of all the tokens after the change was Rs. 27,500. If the average number of tokens per colour is equal to the number of Green tokens, then find the total number of tokens in the casino.
Q33. X, Y and Z are distinct natural numbers. If (Z + 2X) is divisible by 8, find the maximum possible value of Z for which X + 3Y = 24 and X + Y + Z < 24.
Q34. If (5x + 6y – 39)2 + (4x – 5y + 8)2 = 0, then the value of x + y is:
Q35. Rekha bought two types of muffins – A and B in x and y quantity worth Rs. 1,000 for her daughter’s birthday party such that each muffin costs Rs. 5 and Rs. 7 respectively. x and y are as close as possible. On her next birthday, Rekha buys muffins – A and B in y and x quantity respectively. How much (in Rs.) more/less did Rekha pay? (Assume that the price of the muffins is same in both the years)
Q36. In a written test of Mathematics, the score of C was one-thirteenth of the sum of the scores of A and B. After an oral test, each of them’s scores increased by 4. If the final scores of A, B and C were in the ratio 9: 8: 3, then the final score of B was how much less than the sum of the final scores of A and C?
Q37. The railway ticket for a child cost half the full ticket but the reservation charges are the same for half as well as full ticket. Mr. and Mrs. Kanwar along with their 7 years old son purchased three tickets for a journey between two stations and paid a total of Rs.812. If the total cost of the ticket for the child alone is Rs.176, then what are the reservation charges per ticket (in Rs.)?
Q38. In a school, students are made to stand in rows in the Independence Day Parade. If there are 6 additional students in a row, then there would be 3 rows less. If there are 6 students less in a row, there would be 4 rows more. The total number of students in the parade is:
Q39. How many integral solutions exist for the equation 6x – y = 168, such that the values that ‘x’ assumes have opposite signs as compared to the corresponding values of ‘y’?
Q40. Rohit has three types of boxes large, medium and small. He played a game in which he placed 5 large boxes on the table. He puts 3 medium boxes each, in a few of the large boxes then he puts 3 small boxes each, in a few of the medium boxes. If the number of boxes that have been left empty in the game is 21, then how many boxes were used in the game by Rohit?
Q41. My current age is 7 years, more than five times the age of one of my two daughters named Anu. After N years, I will be 7 years more than five times the age of my other daughter named Sonu. What is the minimum possible integral difference (in years) between the ages of my two daughters? (N is a natural number.)
Q42. Murphy had Rs. 62 with which he could buy 5 apples, 6 bananas and 7 oranges. The cost of 20 apples, 20 bananas and 20 oranges together are Rs. 220. If he wanted to buy 7 apples, 6 bananas and 5 oranges. How much more money (in Rs.) will he require?
Q43. The remainder when (x2 + mx + 3) is divided by (x + 1) is same as the remainder when it is divided by (x + 2). What is the value of ‘m’?
Q44. Deepti said to Bhavya, “When 10 times the month number of my birth added to 12 times the date of my birth, the result comes out to be 388”. On which of the following days could Deepti be celebrating her birthday?
Q45. If (x + 2)2 = 9 and (y + 3)2 = 25, then the maximum value of x/y is:
Q46. On a particular day, a salesman sold 3 types of toys. Each toy of the 3 varieties sells at Rs. 100, Rs. 50 and Rs. 25 respectively. If the total sales on that day were of Rs. 300 and that salesman sold at least one toy of each variety, then find the maximum number of toys he could have sold on that day.
Q47. There are 100 questions in an examination paper, in which each correct attempt fetches one mark and each wrong attempt attracts a penalty of one-fourth of a mark. How many different integral scores are possible for a student who attempts exactly 85 questions in the paper? (No penalty for unattempted questions is there)
Q48. A factory makes 3 flavours of candies – eclairs, caramel and mint – and sells at Rs. 10, Rs. 2 and Re. 1 per candy respectively. Karan bought candies for Rs. 100 with at least one candy of each flavour, in which the number of mint candies was 4 times that of caramel candies. Find the maximum number of eclairs candies bought by him?
Q50. In a test, consisting of 28 questions, 5 points are deducted for each incorrect answer, 2 points are deducted for each unanswered question and 9 points are awarded for each correct answer. Jaskaran writes the test and obtains a final score of 0. If Jaskaran answered all the questions, how many questions did he answer correctly?
Q51. A box contains a collection of triangular and square paper sheets. There are 25 sheets in the box having 84 sides in total. How many square paper sheets are there in the box?
Q52. The total number of multiple-choice questions in a paper is 35. It comprises 10 marker, 5 marker and 2 marker questions. The maximum marks that a student can secure in this paper is 100. Find the number of 5 marker questions in the paper.
Q53. Number of two-digit numbers which are equal to the sum of the product of their digits and the sum of their digits is:
Q54. A polynomial yields a remainder of 2 when divided by (x – 1) and a remainder of 1 when divided by (x – 2). If this polynomial is divided by (x – 1) (x – 2), then the remainder is:
Q55. If a two-digit number is equal to the sum of its tens place digit and the square of its units
place digit, then find the value obtained on adding that 2-digit number to the sum of its digits.
Q56. How many distinct real values of x satisfy the equation |3x + 2| – |2x – 3| = 5?
Q57. Hema said to Chirag, “When I was half as old as you are today, you were one-sixth as old as I am now”. If Hema is eight years older than Chirag, then what is the sum of their present ages?


















We at Quantifiers understand and deliver on the personal attention each of our students requires. Whether it is through our pedagogy that enables non-engineers or non-math background students, our constant effort to proactively provide solutions, or our focus on our student’s goals.