300+ Most Important Algebra Questions for CAT

Inequalities

Inequalities play a crucial role in Algebra for CAT 2026, especially in higher-difficulty CAT questions. Practice exam-oriented CAT algebra important questions covering linear, quadratic, and modulus inequalities. These are built around repeated CAT concepts and logical reasoning patterns. For complete preparation, also practice Quadratic Equations, Functions, and Logarithms, as they often integrate with inequalities in CAT.

Inequalities Question 1
8
7
6
5

Inequalities Question 2

Q3. Let f and g be a real valued functions defined as f(x) = x2 + 8 and g(x) = f(x – 2) + f(x + 2) – 36. For how many integral values of ‘x’, g(x) < 0?

Inequalities Question 4
3
4
2
5

Q5. A farmer wants to fence his rectangular field to protect his crops from animals. The cost of fencing the field is Rs. 300 per meter on one side, and Rs. 150 per meter along three other sides. If the area of the rectangular field is 1350 sq. m, then what is the lowest possible cost (in Rs.) of fencing the field?

24000
27000
30000
22000

Q6. If y = log(7 – a) (2x2 + 2x + a + 3) for all real values of x, then which of the following is NOT a possible integral value of ‘a’?

4
5
-2
-3

Inequalities Question 7

Inequalities Question 8
1
1/2
1/4
2/5

Q9. If P3 – 8P2 + P + 42 < 0, then what is the smallest positive integer value of P?

Q10. A, B, C and D are four positive numbers which satisfy the equation A + 2B + 3C + 4D = 36. Find the maximum possible value of AB2CD2.

3744
4180
3188
3888

Q11. Find the number of integral solutions for the inequality (|x – 1| –5)(|x + 2| –4) < 0.

1
2
3
4

Q12. For non-negative real numbers x and y, 3x + 4y ≤ 16 and 5x + 2y ≤ 10. What is the maximum possible value of (4x + 10y)?

Q13. How many integral values of ‘x’, which is a real number, satisfy the equations x2 – 4x – 96 < 0 and x2 > 4?

10
12
14
0

Q14. Find the number of distinct pairs of non-negative integers (x, y) satisfying |3 – 2xy| < |3x – 2y| < 9.

4
5
6
8

Q15. Let M and N be number of integral solutions to ||x| – 2022| < 10 and |2030 – |y|| < 12. What is the value of |M – N|?

Inequalities Question 16
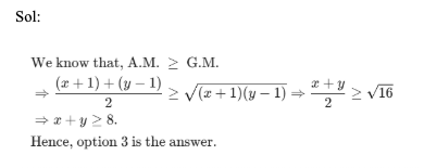
1/4 ≤ A < 1/2
5/16 ≤ A < 1/3
5/8 ≤ A < 1/2
5/16 ≤ A ≤ 1/3

Inequalities Question 17
9
10
11
12

Q18. If a and b are non-negative integers such that a + 8 = c, b + 2 = c and a + b > c + 3, then the minimum possible value of (2a + 3b – c) equals:

Q19. If p > 3 and q < ‒1, then which of the following statements is always true?

3p + 4q > 5/2
If p < -q then 5p + 4q > 1
If p < q2 then p + 3q < -1
None of these

Inequalities Question 20
0
-2
3
-3

Inequalities Question 21

Q22. The number of distinct pairs of integers (m, n) satisfying |2 – mn| < m – n ≤ 2 is:

3
4
5
6

Inequalities Question 23

Inequalities Question 24
1/2
2
-2
-1/2

Inequalities Question 25
4
3
2
1

Q26. If ‘n’ is an integer such that (log4 n – 3) (log3 n – 4) < 0, then the number of possible values of ‘n’ is:

Inequalities Question 27
< 3n
< 2n
≥ 3n
≤ 2n

Q28. (x – 2) (x – 4) (x – 6) (x – 8) …………….. (x – 20) ≤ 0. How many integer values of x satisfy the given equation?

10
15
20
More than 20

Q29. What is the number of integer values that x can take for both the inequations x2 – 6x – 72 < 0 and x2 – 20x +100 > 0?

15
16
14
infinite

Q30. If w + x + y + z = 1, where w, x, y, z are non-negative, then the maximum value of wxyz/(1 – w) (1 – x)(1 – y)(1 – z) is:

81/256
1/81
1/27
64/27

Inequalities Question 31
50%
62.5%
66.67%
75%

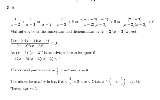
Q32. Number of integer values for which the inequality (3x – 1) (x – 3) > (2x2 – 8x + 2) does not hold true is/are:

0
1
2
More than 2

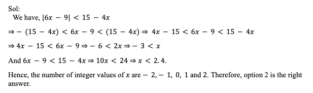
Q33. The number of integral values of x satisfying the inequality |6x – 9| < 15 – 4x is:

4
5
7
6

Q34. If |x2 – 11x + 30| > x2 – 11x + 30, then which of the following statements is true?

x cannot take value greater than 5.
x can take any real value.
x can take any value between 5 and 6.
x can take values either less than 5 or greater than 6.

Q35. If |x – 10| < 20 and |y – 10| < 40, then the number of integral values |x + y| can take is:

Q36. Let f(x) = (x – 2)(x – 1)(x + 3)(x + 5), then which of the following is true regarding the number of integral roots of f(x) > 0 and f(x) < 0 respectively?

Finitely many, Infinitely many
Infinitely many, Exactly 1
Infinitely many, Infinitely many
Finitely many, Exactly 1

Inequalities Question 37

Q38. If ||x – 5| – 3| ≥ 1, find the number of integral values of ‘x’ which doesn’t satisfy the inequality.

1
2
3
4

Q39. What is the number of integer values that x can take for both the equations x2 – 6x – 72 < 0 and x2 – 20x + 100 > 0?

15
0
16
10

Q40. If |x – 3| < 2 and |x| > 2, for how many integers will |x – 1| < 3?

Q41. What is the highest value of ‘x’ for which x3 – 14x2 + 49x – 36 < 0?

4
6
8
10

Q42. If 6x2 + mx + 2 ≥ 0 for all real ‘x’, then how many integer values of can ‘m’ take?
10
11
12
13

Inequalities Question 43
Inequalities 43.1
Inequalities 43.2
Inequalities 43.3
Inequalities 43.4

Q44. If A, B, C and D are distinct real numbers in geometric progression such that for every real X,
(X2 CB)+(AC)+(BD)=AD, then X must satisfy which of the following conditions?

x ≤ √3
x ≥ √3
x ≤ - √3
Both (2) and (3)

Inequalities Question 45
-3
6
8
10

Inequalities Question 46
15
34
19
35

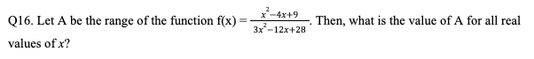
Q47. If (x+1)(y-1)=16, x > 0, y > 1, then:

x + y ≥ 16
x + y ≤ 16
x + y ≥ 8
x + y ≤ 8

Inequalities Question 48
Inequalities 48

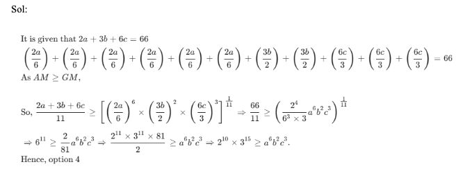
Q49. lf 2a + 3b + 6c = 66, where a, b and c are positive real numbers, then find the maximum value of a6 b2 c3.

215 × 312
214 × 38
212 × 314
210 × 315

Inequalities Question 50
Inequalities 50

best CAT Coaching

We at Quantifiers understand and deliver on the personal attention each of our students requires. Whether it is through our pedagogy that enables non-engineers or non-math background students, our constant effort to proactively provide solutions, or our focus on our student’s goals.