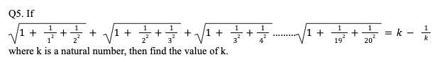
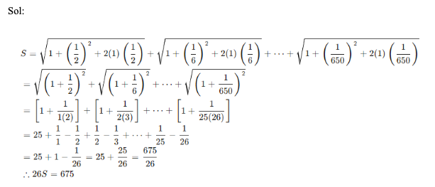
Progression and Series (AP & GP) are high-yield topics within Algebra for CAT 2026. This page provides structured CAT algebra important questions based on repeated progression concepts and exam-relevant applications. Strengthen your command over sequences and summation techniques for Quant improvement. You may also explore Functions, Quadratic Equations, and Logarithms to enhance overall algebra problem-solving ability.
Q1. If 5, 3a + 5b, 5a + 11b and 4a + 35b are in AP, what is the value of a + b?
Q2. What is the sum of the first 50 terms of the series 3, 6, 11, 18, 27, …….
Q3. Three positive integers x, y and z are in arithmetic progression. If y – x > 1 and xyz = 8(x + y + z), then z – x equals:
Q4. Let a1, a2, a3, …….. be a decreasing AP such that a2 + a3 + … + an = – 36 and a1 + a2 + ……. + an – 1 = 0. If a9 – a5 = – 16, then what is the value of a?
Q6. If A, B, C are three distinct real numbers in Geometric Progression (GP) and A + B + C = X × B, then what is the sum of all integral values of X in the interval (–5, 5)?
Q7. a1, a2, a3, …, a14 are natural numbers in arithmetic progression. The average of a2, a3, ……, a6 is 34 and that of a9, a10, …….., a13 is 41. Find the average of all the 14 numbers.
Q8. If 2(x1 + x2 + x3 + …….. + xn) = 7(3n – 1), for every n ≥ 1, then x7 equals:
Q11. The 23rd term and the 32nd term of a geometric progression are the number of factors of 54 and 72, respectively. What is the geometric mean of the first 54 terms of the progression?
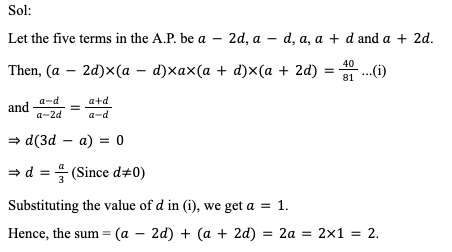
Q12. The product of the first five terms of an increasing arithmetic progression is 40/81. If the 1st, 2nd and 4th terms of the arithmetic progression are in geometric progression, what is the sum of the 1st term and the 5th term of the arithmetic progression?
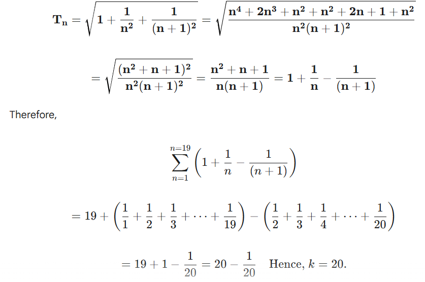
Q15. Find the number of common terms between the two sequences S1 = {21, 25, 29, …, 421} and S2 = {16, 21, 26, …,471}.
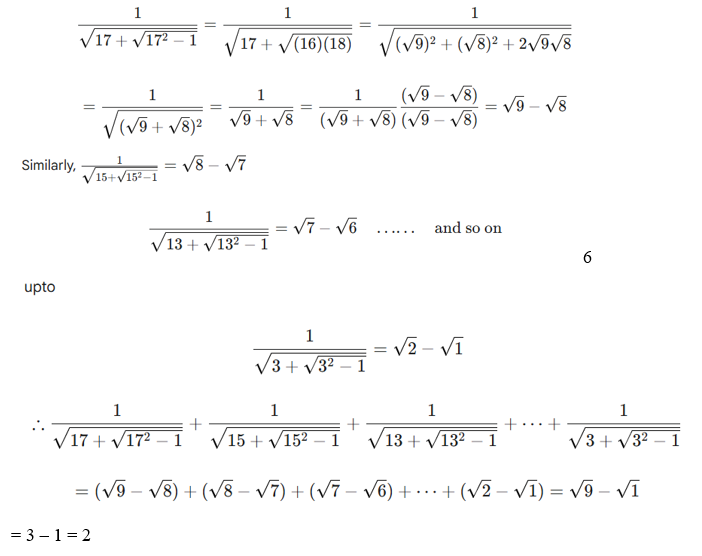
Q17. Find the sum of 5 × 9 + 9 × 13 + 13 × 17 + … + 97 × 101.
18. Let a1, a2, a3, …, a10 be a sequence of ten consecutive natural numbers. Consider a new sequence of ten consecutive even numbers having 2a10 – 2 as the last term of the sequence. If the sum of the numbers in the new sequence is 210, then the average of the numbers of the original sequence without a10 is:
Q19. A sequence of infinite numbers of elements a1, a2, a3, … are in geometric progression. If the common ratio of the progression is 1/5, then which of the following can be the value of ‘k’ given that an = k(an+1 + an+2 + …) for every n > 1?
Q22. Consider the arithmetic progression 4, 9, 14, … and let Sn denote the sum of the first ‘n’ terms of this progression (so S1 = 4, S2 = 4 + 9, S3 = 4 + 9 + 14 and so on). Then the average of the first twenty values of Sn will be:
Q23. If 2(x1 + x2 + x3 + … + xn) = 7(3n – 1), for every n ≥ 1, then x7 equals:
Q25. The number of 3-digit terms in the arithmetic progression 2, 5, 8, ….. , that are multiple of 10 is:
Q26. The average of the first seven terms of an AP is 3/7 times the average of the 7th to 13th terms of the same AP. The average of the first four terms will be:
Q27. For any natural number n, suppose the sum of the first ‘n’ terms of an arithmetic progression is (n2 + 3n). If the nth term of the progression is divisible by 7, then the smallest possible value of n is:
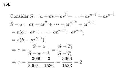
Q29. In a geometric progression, the sum of the first n terms is 3069 and the first term is 3. If the nth term in the progression is 1536, find the common ratio.
Q30. Find the sum of the first 20 terms of an arithmetic progression, if its 5th term is 11 and its 16th term is 39.
Q31. Find the sum of the first 20 terms of the series, 1, 6, 21, 52, 105, 186,……..
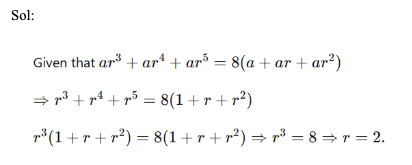
Q32. In a geometric progression, the sum of the fourth, fifth and sixth terms is eight times the sum of the first three terms. Find the common ratio.
Q33. The fourth term of a geometric progression with a common ratio same as the first term is 6561. If all the terms of the progression are positive, find the remainder when the sum of the first eight terms is divided by 6.
Q34. In an arithmetic progression, the 10th term is 12 and the 11th term is 10. How many consecutive terms (starting from the first term) of the arithmetic progression should be considered so as to make their sum equal to zero?
Q35. Let the (q – 2)th and (p + 1)th terms of a geometric progression be 4/3 and 108 respectively, where p > q. If the common ratio of the GP is an integer r, then what is the largest possible value of r/(p – q)?
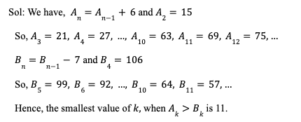
Q36. Sequence A is defined as An = An – 1 + 6, A2 = 15 and sequence B is defined as Bn = Bn – 1 – 7, B4 = 106. If Ak > Bk, then find the smallest value that k can take.
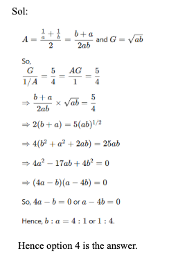
Q37. The arithmetic mean of 1/a and 1/b is A and the geometric mean of a and b is G. If G: 1/A = 5: 4, then the ratio of b: a can be:
Q38. If 4096 is added to the product of the 13th, 14th, 15th and 16th term of an arithmetic progression, then a perfect square is obtained. If each term of this arithmetic progression is a positive integer, then find the common difference of the arithmetic progression.
Q39. If Sn = 2 – 4 + 6 – 8 + 10 – 12 +… up to ‘n’ terms, then what is the value of S101 – S102 + S103?
Q40. The sequence a1, a2, a3, ……… a71 satisfied the condition an+1 = an + 2 for n = 1, 2, 3, …, 70. If the sum of all the terms a1 through a71 is 2130, find the sum of all terms of the form a2n in this series, where n is a natural number.
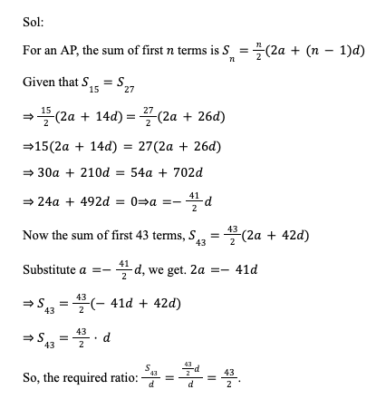
Q41. Find the ratio of the sum of the first 43 terms of an AP to the common difference if the sum of the first 15 terms and that of the first 27 terms of this AP is equal.
Q42. Three natural numbers a, b and c are in geometric progression such that the common ratio is also a natural number. If 12a, 5b, and 2c are in arithmetic progression in that order with a positive common difference, then the common ratio of the geometric progression made of a, b and c in that order equals:
Q43. If the sum of the 7th and the 24th term of an AP is the same as its 15th term, then find the sum of the first 31 terms of the same AP.
Q45. When f(x) = px3 + qx2 + rx + t, where p, q, r and t are natural numbers, is divided by x, the remainder is a4, where ‘a’ is a prime number. The square root of the remainder when f(x) is divided by (x – a) is the perfect cube of a natural number. If p, q, r and t, in the same order, are in an increasing Geometric Progression, Find the value of ‘a’.
Q46. A sequence of natural numbers is such that the difference of two successive terms is in an Arithmetic Progression. If the first, second and fifth terms are 3, 6 and 27 respectively. Find the eighth term of the sequence.
Q47. Find the value of 1 × 2 + 2 × 3 + 3 × 4 + … + 16 × 17.
Q48. There is a group of 11 persons namely P1,P2,P3,…,P11. The number of balls with P1 through P11, in that order, is in an Arithmetic Progression. If the sum of the number of balls with P1,P3,P5,P7,P9 and P11 is equal to 60, what is the number of balls with P1,P8 and P11 put together?
Q49. The sum of the 3rd and 17th elements of an Arithmetic Progression is equal to the sum of the 7th, 11th and 13th elements of the same progression. If the sum of n terms of such a progression is zero then what is the value of n?
Q52. Rohit drops a ball vertically from the top of a 50 m high building. The ball bounces repeatedly, and goes up to a height which is (2/3)rd of the previous bounce.
Q55. The number 2x + 2, which is the second term in a number series, is obtained by multiplying the number x, which is the first term of the same number series, by y. The third term in that number series is 3x + 3 and it is equal to 2(xy + y). In that number series, if the fourth term is obtained by multiplying the third term by y, then what is the fourth term of the number series? (All the numbers in that series are real numbers)
Q56. If in an infinite Geometric Progression, the sum of the squares of all the terms equals twice the square of sum of all the terms, then find the common ratio of the progression.


















We at Quantifiers understand and deliver on the personal attention each of our students requires. Whether it is through our pedagogy that enables non-engineers or non-math background students, our constant effort to proactively provide solutions, or our focus on our student’s goals.