300+ Most Important Algebra Questions for CAT

Logarithms

Logarithms are a regularly tested and interconnected topic in Algebra for CAT 2026. This page includes targeted CAT algebra important questions built around repeated log identities and equation-based CAT problems. The focus is on accuracy, concept clarity, and speed. For stronger performance, also revise Functions, Quadratic Equations, and Inequalities, as CAT often mixes these concepts with logarithms.
Logs Q1
1
-1
2
4

Logarithms Question 2 new
x > 8
4 < x < 5
6 < x < 7
7 < x < 8

Q3. What is the value of x, if logx (log108 (√3 + √75)) = –1/2?

Logarithms Question 4 new

Q5. How many integer values of x satisfy the equation |2 + log1/7 x| = 1 + |1 + log1/7 x|?

5
6
7
4

Q6. Let loga (logb (logc p)) = 0, where a, b and c assume distinct values among, 4, 8 and 16 only. If the product of all possible values of ‘p’ is equal to 2n, then what is the value of ‘n’?

Q7. Let xyz = 1081 and log10 x × log10 y + log10 y × log10 z + log10 z × log10 x = 468, where x, y and z are positive numbers, then (log10 x)2 + (log10 y)2 + (log10 z)2 is divisible by:

54
33
53 x 33
22 x 34

Q8. If log3(4 + log2P) = 2 and log2(log3Q – 4) = 1 then the value of P2 – Q is:

305
295
285
270

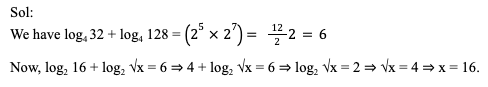
Q9. Find the value of x, if log4 32 + log4 128 = log2 16 + log2 √x

Logs Q10

Q11. The numerical values of the surface area and the volume of a cuboid are equal. If the edge lengths are log2 x, log3 x, log5 x, then the value of ‘x’ is:

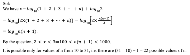
Q12. If x = log10 (1 + 2 + 3 + … + n) + log10 2, where n is a natural number. Find the number of possible values of n for which 2 < x < 3.

Q13. For how many values of ‘k’ are log a, log ka and log (4a) are in an arithmetic progression?

Q14. Find the number of solutions of the equation log3 (x + 5) = 6 – x.

0
1
2
More than 2

Logarithms Question 15
-3/2
3/2
-2/3
2/3

Q16. If log (x4y) = 1; log (xy3) = 2, what is the value of log(xy)?

8/11
7/13
8/33
3/11

Logarithms Question 17
0
1
2
3

Q18. If log2 x + log2 y ≥ 6, then what is the least value of x + y?

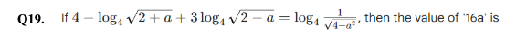
Logarithms Question 19

Logarithms Question 20
1 + log5 3 – log5 2
1 + log5 3 – 2log5 2
1 + log3 5 – 4log5 2
1 + log5 3 – 4log5 2

Q21. It is given that X and Y are two distinct natural numbers. Which of the following can be the value of ‘a’ given that loga X > loga Y implies X < Y?

10
5
1
0.5

Logarithms Question 22

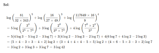
Logs Q23
3 log 40
5 log 42
3 log 42
5 log 40

Logarithms Question 24
1
2
8
4

Logs Q25
8
9
7
3

Logarithms Question 26

Logarithms Question 27
10 5/18
10 2/9
10 9/2
10 18/5

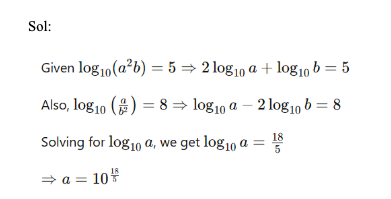
Logarithms Question 28
3/2
1/4
1/2
2

Logarithms Question 29

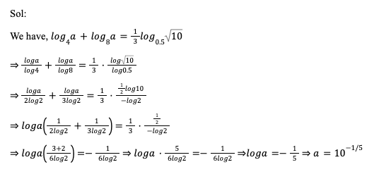
Logarithms Question 30
10 -1/5
10 1/5
5 -1/2
10 -3/5

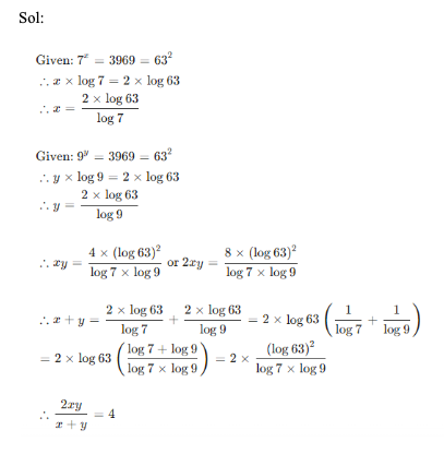
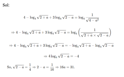
Logarithms Question 31
17
28
34
1

Logarithms Question 32
11
10
8
16

Logarithms Question 33
4
9
16
Either (1) or (3)

Logarithms Question 34
1
3
2
0

Logarithms Question 35

Q36. If loga 36 = 1.44, and log2 a = 3.2, then find the value of log2 32a + loga 144.

9.64
10.265
10.015
9.9525

Logarithms Question 37
1
2
3
More than 3

Q38. Given that logx (logy (logz p)) = 0, where each of x, y and z can assume distinct values among 7, 49 and 2401 only. If the product of all possible values of ‘p’ is represented in the form of 7n, then what is the value of ‘n’?

8400
7490
7140
9450

Logarithms Question 39
1
2
3
4

Logarithms Question 40
logs 40.1
logs 40.2
logs 40.3
logs 40.4

Logarithms Question 41
27 - 2
2(27 - 1)
2(27 + 1)
27 + 1

Logarithms Question 42

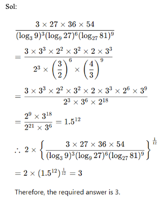
Logarithms Question 43
12
192
24
512

Logarithms Question 44
n2
2n
4n
2n2

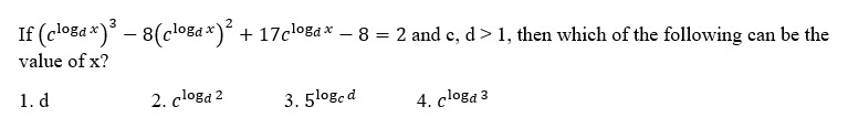
Logarithms Question 45
logx logy
4(logx – logy)
2(logx + logy)
None of the above

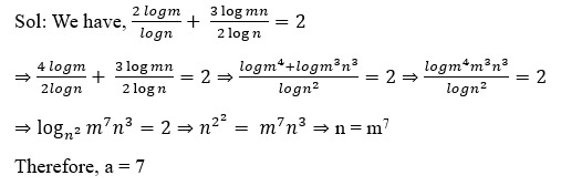
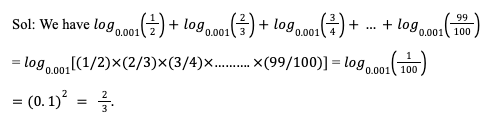
Logarithms Question 46
1
5
5/4
25/12

Logarithms Question 47
1
2
4
Cannot be determined

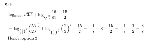
Logarithms Question 48
-1/2
5/8
3/8
7/2

best CAT Coaching

We at Quantifiers understand and deliver on the personal attention each of our students requires. Whether it is through our pedagogy that enables non-engineers or non-math background students, our constant effort to proactively provide solutions, or our focus on our student’s goals.